



Abstract:Achieving reliable multidimensional Vehicle-to-Vehicle (V2V) channel state information (CSI) prediction is both challenging and crucial for optimizing downstream tasks that depend on instantaneous CSI. This work extends traditional prediction approaches by focusing on four-dimensional (4D) CSI, which includes predictions over time, bandwidth, and antenna (TX and RX) space. Such a comprehensive framework is essential for addressing the dynamic nature of mobility environments within intelligent transportation systems, necessitating the capture of both temporal and spatial dependencies across diverse domains. To address this complexity, we propose a novel context-conditioned spatiotemporal predictive learning method. This method leverages causal convolutional long short-term memory (CA-ConvLSTM) to effectively capture dependencies within 4D CSI data, and incorporates context-conditioned attention mechanisms to enhance the efficiency of spatiotemporal memory updates. Additionally, we introduce an adaptive meta-learning scheme tailored for recurrent networks to mitigate the issue of accumulative prediction errors. We validate the proposed method through empirical studies conducted across three different geometric configurations and mobility scenarios. Our results demonstrate that the proposed approach outperforms existing state-of-the-art predictive models, achieving superior performance across various geometries. Moreover, we show that the meta-learning framework significantly enhances the performance of recurrent-based predictive models in highly challenging cross-geometry settings, thus highlighting its robustness and adaptability.




Abstract:Indoor localization is a challenging problem that - unlike outdoor localization - lacks a universal and robust solution. Machine Learning (ML), particularly Deep Learning (DL), methods have been investigated as a promising approach. Although such methods bring remarkable localization accuracy, they heavily depend on the training data collected from the environment. The data collection is usually a laborious and time-consuming task, but Data Augmentation (DA) can be used to alleviate this issue. In this paper, different from previously used DA, we propose methods that utilize the domain knowledge about wireless propagation channels and devices. The methods exploit the typical hardware component drift in the transceivers and/or the statistical behavior of the channel, in combination with the measured Power Delay Profile (PDP). We comprehensively evaluate the proposed methods to demonstrate their effectiveness. This investigation mainly focuses on the impact of factors such as the number of measurements, augmentation proportion, and the environment of interest impact the effectiveness of the different DA methods. We show that in the low-data regime (few actual measurements available), localization accuracy increases up to 50%, matching non-augmented results in the high-data regime. In addition, the proposed methods may outperform the measurement-only high-data performance by up to 33% using only 1/4 of the amount of measured data. We also exhibit the effect of different training data distribution and quality on the effectiveness of DA. Finally, we demonstrate the power of the proposed methods when employed along with Transfer Learning (TL) to address the data scarcity in target and/or source environments.




Abstract:Indoor localization is a challenging task. There is no robust and almost-universal approach, in contrast to outdoor environments where GPS is dominant. Recently, machine learning (ML) has emerged as the most promising approach for achieving accurate indoor localization, yet its main challenge is the requirement for large datasets to train the neural networks. The data collection procedure is costly and laborious as the procedure requires extensive measurements and labeling processes for different indoor environments. The situation can be improved by Data Augmentation (DA), which is a general framework to enlarge the datasets for ML, making ML systems more robust and increases their generalization capabilities. In this paper, we propose two simple yet surprisingly effective DA algorithms for channel state information (CSI) based indoor localization motivated by physical considerations. We show that the required number of measurements for a given accuracy requirement may be decreased by an order of magnitude. Specifically, we demonstrate the algorithms' effectiveness by experiments conducted with a measured indoor WiFi measurement dataset: as little as 10% of the original dataset size is enough to get the same performance of the original dataset. We also showed that, if we further augment the dataset with proposed techniques we get better test accuracy more than three-fold.




Abstract:The last few decades have witnessed a growing interest in location-based services. Using localization systems based on Radio Frequency (RF) signals has proven its efficacy for both indoor and outdoor applications. However, challenges remain with respect to both complexity and accuracy of such systems. Machine Learning (ML) is one of the most promising methods for mitigating these problems, as ML (especially deep learning) offers powerful practical data-driven tools that can be integrated into localization systems. In this paper, we provide a comprehensive survey of ML-based localization solutions that use RF signals. The survey spans different aspects, ranging from the system architectures, to the input features, the ML methods, and the datasets. A main point of the paper is the interaction between the domain knowledge arising from the physics of localization systems, and the various ML approaches. Besides the ML methods, the utilized input features play a major role in shaping the localization solution; we present a detailed discussion of the different features and what could influence them, be it the underlying wireless technology or standards or the preprocessing techniques. A detailed discussion is dedicated to the different ML methods that have been applied to localization problems, discussing the underlying problem and the solution structure. Furthermore, we summarize the different ways the datasets were acquired, and then list the publicly available ones. Overall, the survey categorizes and partly summarizes insights from almost 400 papers in this field. This survey is self-contained, as we provide a concise review of the main ML and wireless propagation concepts, which shall help the researchers in either field navigate through the surveyed solutions, and suggested open problems.




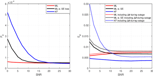
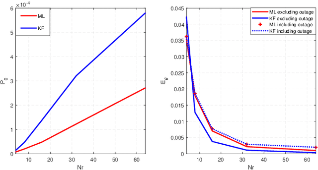
Abstract:Utilizing millimeter-wave (mmWave) frequencies for wireless communication in \emph{mobile} systems is challenging since it requires continuous tracking of the beam direction. Recently, beam tracking techniques based on channel sparsity and/or Kalman filter-based techniques were proposed where the solutions use assumptions regarding the environment and device mobility that may not hold in practical scenarios. In this paper, we explore a machine learning-based approach to track the angle of arrival (AoA) for specific paths in realistic scenarios. In particular, we use a recurrent neural network (R-NN) structure with a modified cost function to track the AoA. We propose methods to train the network in sequential data, and study the performance of our proposed solution in comparison to an extended Kalman filter based solution in a realistic mmWave scenario based on stochastic channel model from the QuaDRiGa framework. Results show that our proposed solution outperforms an extended Kalman filter-based method by reducing the AoA outage probability, and thus reducing the need for frequent beam search.




Abstract:We consider the band assignment (BA) problem in dual-band systems, where the basestation (BS) chooses one of the two available frequency bands (centimeter-wave and millimeter-wave bands) to communicate with the user equipment (UE). While the millimeter-wave band might offer higher data rate, there is a significant probability of outage during which the communication should be carried on the (more reliable) centimeter-wave band. We consider two variations of the BA problem, one-shot and sequential BA. For the former the BS uses only the currently observed information to decide whether to switch to the other frequency band, for the sequential BA, the BS uses a window of previously observed information to predict the best band for a future time step. We provide two approaches to solve the BA problem, (i) a deep learning approach that is based on Long Short Term Memory and/or multi-layer Neural Networks, and (ii) a Gaussian Process based approach, which relies on the assumption that the channel states are jointly Gaussian. We compare the achieved performances to several benchmarks in two environments: (i) a stochastic environment, and (ii) microcellular outdoor channels obtained by ray-tracing. In general, the deep learning solution shows superior performance in both environments.




Abstract:We consider the band assignment problem in dual band systems, where the base-station (BS) chooses one of the two available frequency bands (centimeter-wave and millimeter-wave bands) to communicate data to the mobile station (MS). While the millimeter-wave band offers higher data rate when it is available, there is a significant probability of outage during which the communication should be carried on the centimeter-wave band. In this work, we use a machine learning framework to provide an efficient and practical solution to the band assignment problem. In particular, the BS trains a Neural Network (NN) to predict the right band assignment decision using observed channel information. We study the performance of the NN in two environments: (i) A stochastic channel model with correlated bands, and (ii) microcellular outdoor channels obtained by simulations with a commercial ray-tracer. For the former case, for sake of comparison we also develop a threshold based band assignment that relies on the optimal mean square error estimator of the best band. In addition, we study the performance of the NN-based solution with different NN structures and different observed parameters (position, field strength, etc.). We compare the achieved performance to linear and logistic regression based solutions as well as the threshold based solution. Under practical constraints, the learning based band assignment shows competitive or superior performance in both environments.