Abstract:Deploying deep learning-based applications in specialized domains like the aircraft production industry typically suffers from the training data availability problem. Only a few datasets represent non-everyday objects, situations, and tasks. Recent advantages in research around Vision Foundation Models (VFM) opened a new area of tasks and models with high generalization capabilities in non-semantic and semantic predictions. As recently demonstrated by the Segment Anything Project, exploiting VFM's zero-shot capabilities is a promising direction in tackling the boundaries spanned by data, context, and sensor variety. Although, investigating its application within specific domains is subject to ongoing research. This paper contributes here by surveying applications of the SAM in aircraft production-specific use cases. We include manufacturing, intralogistics, as well as maintenance, repair, and overhaul processes, also representing a variety of other neighboring industrial domains. Besides presenting the various use cases, we further discuss the injection of domain knowledge.

Abstract:We study the classic problem of fairly allocating a set of indivisible goods among a group of agents, and focus on the notion of approximate proportionality known as PROPm. Prior work showed that there exists an allocation that satisfies this notion of fairness for instances involving up to five agents, but fell short of proving that this is true in general. We extend this result to show that a PROPm allocation is guaranteed to exist for all instances, independent of the number of agents or goods. Our proof is constructive, providing an algorithm that computes such an allocation and, unlike prior work, the running time of this algorithm is polynomial in both the number of agents and the number of goods.
Abstract:We study the problem of fairly allocating indivisible goods and focus on the classic fairness notion of proportionality. The indivisibility of the goods is long known to pose highly non-trivial obstacles to achieving fairness, and a very vibrant line of research has aimed to circumvent them using appropriate notions of approximate fairness. Recent work has established that even approximate versions of proportionality (PROPx) may be impossible to achieve even for small instances, while the best known achievable approximations (PROP1) are much weaker. We introduce the notion of proportionality up to the maximin item (PROPm) and show how to reach an allocation satisfying this notion for any instance involving up to five agents with additive valuations. PROPm provides a well motivated middle-ground between PROP1 and PROPx, while also capturing some elements of the well-studied maximin share (MMS) benchmark: another relaxation of proportionality that has attracted a lot of attention.




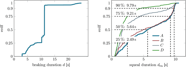
Abstract:Despite significant advances in numerical modeling of brake squeal, the majority of industrial research and design is still conducted experimentally. In this work we report on novel strategies for handling data-intensive vibration testings and gaining better insights into brake system vibrations. To this end, we propose machine learning-based methods to detect and characterize vibrations, understand sensitivities and predict brake squeal. Our aim is to illustrate how interdisciplinary approaches can leverage the potential of data science techniques for classical mechanical engineering challenges. In the first part, a deep learning brake squeal detector is developed to identify several classes of typical sounds in vibration recordings. The detection method is rooted in recent computer vision techniques for object detection. It allows to overcome limitations of classical approaches that rely on spectral properties of the recorded vibrations. Results indicate superior detection and characterization quality when compared to state-of-the-art brake squeal detectors. In the second part, deep recurrent neural networks are employed to learn the parametric patterns that determine the dynamic stability of the brake system during operation. Given a set of multivariate loading conditions, the models learn to predict the vibrational behavior of the structure. The validated models represent virtual twins for the squeal behavior of a specific brake system. It is found that those models can predict the occurrence and onset of brake squeal with high accuracy. Hence, the deep learning models can identify the complicated patterns and temporal dependencies in the loading conditions that drive the dynamical structure into regimes of instability. Large data sets from commercial brake system testing are used to train and validate the deep learning models.