



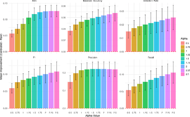
Abstract:\textbf{Background:} Machine learning models trained on electronic health records (EHRs) often degrade across healthcare systems due to distributional shift. A fundamental but underexplored factor is diagnostic signal decay: variability in diagnostic quality and consistency across institutions, which affects the reliability of codes used for training and prediction. \textbf{Objective:} To develop a Signal Fidelity Index (SFI) quantifying diagnostic data quality at the patient level in dementia, and to test SFI-aware calibration for improving model performance across heterogeneous datasets without outcome labels. \textbf{Methods:} We built a simulation framework generating 2,500 synthetic datasets, each with 1,000 patients and realistic demographics, encounters, and coding patterns based on dementia risk factors. The SFI was derived from six interpretable components: diagnostic specificity, temporal consistency, entropy, contextual concordance, medication alignment, and trajectory stability. SFI-aware calibration applied a multiplicative adjustment, optimized across 50 simulation batches. \textbf{Results:} At the optimal parameter ($\alpha$ = 2.0), SFI-aware calibration significantly improved all metrics (p $<$ 0.001). Gains ranged from 10.3\% for Balanced Accuracy to 32.5\% for Recall, with notable increases in Precision (31.9\%) and F1-score (26.1\%). Performance approached reference standards, with F1-score and Recall within 1\% and Balanced Accuracy and Detection Rate improved by 52.3\% and 41.1\%, respectively. \textbf{Conclusions:} Diagnostic signal decay is a tractable barrier to model generalization. SFI-aware calibration provides a practical, label-free strategy to enhance prediction across healthcare contexts, particularly for large-scale administrative datasets lacking outcome labels.




Abstract:Children's health studies support an association between maternal environmental exposures and children's birth and health outcomes. A common goal in such studies is to identify critical windows of susceptibility -- periods during gestation with increased association between maternal exposures and a future outcome. The associations and timings of critical windows are likely heterogeneous across different levels of individual, family, and neighborhood characteristics. However, the few studies that have considered effect modification were limited to a few pre-specified subgroups. We propose a statistical learning method to estimate critical windows at the individual level and identify important characteristics that induce heterogeneity. The proposed approach uses distributed lag models (DLMs) modified by Bayesian additive regression trees to account for effect heterogeneity based on a potentially high-dimensional set of modifying factors. We show in a simulation study that our model can identify both critical windows and modifiers responsible for DLM heterogeneity. We estimate the relationship between weekly exposures to fine particulate matter during gestation and birth weight in an administrative Colorado birth cohort. We identify maternal body mass index (BMI), age, Hispanic designation, and education as modifiers of the distributed lag effects and find non-Hispanics with increased BMI to be a susceptible population.