SPE




Abstract:This communication is devoted to solar irradiance and irradiation short-term forecasts, which are useful for electricity production. Several different time series approaches are employed. Our results and the corresponding numerical simulations show that techniques which do not need a large amount of historical data behave better than those which need them, especially when those data are quite noisy.




Abstract:A Multi-Layer Perceptron (MLP) defines a family of artificial neural networks often used in TS modeling and forecasting. Because of its "black box" aspect, many researchers refuse to use it. Moreover, the optimization (often based on the exhaustive approach where "all" configurations are tested) and learning phases of this artificial intelligence tool (often based on the Levenberg-Marquardt algorithm; LMA) are weaknesses of this approach (exhaustively and local minima). These two tasks must be repeated depending on the knowledge of each new problem studied, making the process, long, laborious and not systematically robust. In this paper a pruning process is proposed. This method allows, during the training phase, to carry out an inputs selecting method activating (or not) inter-nodes connections in order to verify if forecasting is improved. We propose to use iteratively the popular damped least-squares method to activate inputs and neurons. A first pass is applied to 10% of the learning sample to determine weights significantly different from 0 and delete other. Then a classical batch process based on LMA is used with the new MLP. The validation is done using 25 measured meteorological TS and cross-comparing the prediction results of the classical LMA and the 2-stage LMA.


Abstract:In this paper, we propose to study four meteorological and seasonal time series coupled with a multi-layer perceptron (MLP) modeling. We chose to combine two transfer functions for the nodes of the hidden layer, and to use a temporal indicator (time index as input) in order to take into account the seasonal aspect of the studied time series. The results of the prediction concern two years of measurements and the learning step, eight independent years. We show that this methodology can improve the accuracy of meteorological data estimation compared to a classical MLP modelling with a homogenous transfer function.




Abstract:Numerous methods exist and were developed for global radiation forecasting. The two most popular types are the numerical weather predictions (NWP) and the predictions using stochastic approaches. We propose to compute a parameter noted constructed in part from the mutual information which is a quantity that measures the mutual dependence of two variables. Both of these are calculated with the objective to establish the more relevant method between NWP and stochastic models concerning the current problem.




Abstract:It is essential to find solar predictive methods to massively insert renewable energies on the electrical distribution grid. The goal of this study is to find the best methodology allowing predicting with high accuracy the hourly global radiation. The knowledge of this quantity is essential for the grid manager or the private PV producer in order to anticipate fluctuations related to clouds occurrences and to stabilize the injected PV power. In this paper, we test both methodologies: single and hybrid predictors. In the first class, we include the multi-layer perceptron (MLP), auto-regressive and moving average (ARMA), and persistence models. In the second class, we mix these predictors with Bayesian rules to obtain ad-hoc models selections, and Bayesian averages of outputs related to single models. If MLP and ARMA are equivalent (nRMSE close to 40.5% for the both), this hybridization allows a nRMSE gain upper than 14 percentage points compared to the persistence estimation (nRMSE=37% versus 51%).


Abstract:A Multi-Layer Perceptron (MLP) defines a family of artificial neural networks often used in TS modeling and forecasting. Because of its "black box" aspect, many researchers refuse to use it. Moreover, the optimization (often based on the exhaustive approach where "all" configurations are tested) and learning phases of this artificial intelligence tool (often based on the Levenberg-Marquardt algorithm; LMA) are weaknesses of this approach (exhaustively and local minima). These two tasks must be repeated depending on the knowledge of each new problem studied, making the process, long, laborious and not systematically robust. In this paper a pruning process is proposed. This method allows, during the training phase, to carry out an inputs selecting method activating (or not) inter-nodes connections in order to verify if forecasting is improved. We propose to use iteratively the popular damped least-squares method to activate inputs and neurons. A first pass is applied to 10% of the learning sample to determine weights significantly different from 0 and delete other. Then a classical batch process based on LMA is used with the new MLP. The validation is done using 25 measured meteorological TS and cross-comparing the prediction results of the classical LMA and the 2-stage LMA.




Abstract:Considering the grid manager's point of view, needs in terms of prediction of intermittent energy like the photovoltaic resource can be distinguished according to the considered horizon: following days (d+1, d+2 and d+3), next day by hourly step (h+24), next hour (h+1) and next few minutes (m+5 e.g.). Through this work, we have identified methodologies using time series models for the prediction horizon of global radiation and photovoltaic power. What we present here is a comparison of different predictors developed and tested to propose a hierarchy. For horizons d+1 and h+1, without advanced ad hoc time series pre-processing (stationarity) we find it is not easy to differentiate between autoregressive moving average (ARMA) and multilayer perceptron (MLP). However we observed that using exogenous variables improves significantly the results for MLP . We have shown that the MLP were more adapted for horizons h+24 and m+5. In summary, our results are complementary and improve the existing prediction techniques with innovative tools: stationarity, numerical weather prediction combination, MLP and ARMA hybridization, multivariate analysis, time index, etc.




Abstract:Atmospheric pollutants concentration forecasting is an important issue in air quality monitoring. Qualitair Corse, the organization responsible for monitoring air quality in Corsica (France) region, needs to develop a short-term prediction model to lead its mission of information towards the public. Various deterministic models exist for meso-scale or local forecasting, but need powerful large variable sets, a good knowledge of atmospheric processes, and can be inaccurate because of local climatical or geographical particularities, as observed in Corsica, a mountainous island located in a Mediterranean Sea. As a result, we focus in this study on statistical models, and particularly Artificial Neural Networks (ANN) that have shown good results in the prediction of ozone concentration at horizon h+1 with data measured locally. The purpose of this study is to build a predictor to realize predictions of ozone and PM10 at horizon d+1 in Corsica in order to be able to anticipate pollution peak formation and to take appropriated prevention measures. Specific meteorological conditions are known to lead to particular pollution event in Corsica (e.g. Saharan dust event). Therefore, several ANN models will be used, for meteorological conditions clustering and for operational forecasting.




Abstract:The renewable energies prediction and particularly global radiation forecasting is a challenge studied by a growing number of research teams. This paper proposes an original technique to model the insolation time series based on combining Artificial Neural Network (ANN) and Auto-Regressive and Moving Average (ARMA) model. While ANN by its non-linear nature is effective to predict cloudy days, ARMA techniques are more dedicated to sunny days without cloud occurrences. Thus, three hybrids models are suggested: the first proposes simply to use ARMA for 6 months in spring and summer and to use an optimized ANN for the other part of the year; the second model is equivalent to the first but with a seasonal learning; the last model depends on the error occurred the previous hour. These models were used to forecast the hourly global radiation for five places in Mediterranean area. The forecasting performance was compared among several models: the 3 above mentioned models, the best ANN and ARMA for each location. In the best configuration, the coupling of ANN and ARMA allows an improvement of more than 1%, with a maximum in autumn (3.4%) and a minimum in winter (0.9%) where ANN alone is the best.




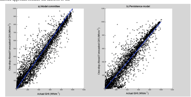
Abstract:This paper proposes to use a rather new modelling approach in the realm of solar radiation forecasting. In this work, two forecasting models: Autoregressive Moving Average (ARMA) and Neural Network (NN) models are combined to form a model committee. The Bayesian inference is used to affect a probability to each model in the committee. Hence, each model's predictions are weighted by their respective probability. The models are fitted to one year of hourly Global Horizontal Irradiance (GHI) measurements. Another year (the test set) is used for making genuine one hour ahead (h+1) out-of-sample forecast comparisons. The proposed approach is benchmarked against the persistence model. The very first results show an improvement brought by this approach.