



Abstract:Code-switching (CS), i.e. mixing different languages in a single sentence, is a common phenomenon in communication and can be challenging in many Natural Language Processing (NLP) settings. Previous studies on CS speech have shown promising results for end-to-end speech translation (ST), but have been limited to offline scenarios and to translation to one of the languages present in the source (\textit{monolingual transcription}). In this paper, we focus on two essential yet unexplored areas for real-world CS speech translation: streaming settings, and translation to a third language (i.e., a language not included in the source). To this end, we extend the Fisher and Miami test and validation datasets to include new targets in Spanish and German. Using this data, we train a model for both offline and streaming ST and we establish baseline results for the two settings mentioned earlier.




Abstract:Code switching (CS) refers to the phenomenon of interchangeably using words and phrases from different languages. CS can pose significant accuracy challenges to NLP, due to the often monolingual nature of the underlying systems. In this work, we focus on CS in the context of English/Spanish conversations for the task of speech translation (ST), generating and evaluating both transcript and translation. To evaluate model performance on this task, we create a novel ST corpus derived from existing public data sets. We explore various ST architectures across two dimensions: cascaded (transcribe then translate) vs end-to-end (jointly transcribe and translate) and unidirectional (source -> target) vs bidirectional (source <-> target). We show that our ST architectures, and especially our bidirectional end-to-end architecture, perform well on CS speech, even when no CS training data is used.




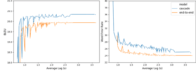
Abstract:Using end-to-end models for speech translation (ST) has increasingly been the focus of the ST community. These models condense the previously cascaded systems by directly converting sound waves into translated text. However, cascaded models have the advantage of including automatic speech recognition output, useful for a variety of practical ST systems that often display transcripts to the user alongside the translations. To bridge this gap, recent work has shown initial progress into the feasibility for end-to-end models to produce both of these outputs. However, all previous work has only looked at this problem from the consecutive perspective, leaving uncertainty on whether these approaches are effective in the more challenging streaming setting. We develop an end-to-end streaming ST model based on a re-translation approach and compare against standard cascading approaches. We also introduce a novel inference method for the joint case, interleaving both transcript and translation in generation and removing the need to use separate decoders. Our evaluation across a range of metrics capturing accuracy, latency, and consistency shows that our end-to-end models are statistically similar to cascading models, while having half the number of parameters. We also find that both systems provide strong translation quality at low latency, keeping 99% of consecutive quality at a lag of just under a second.




Abstract:The conventional paradigm in speech translation starts with a speech recognition step to generate transcripts, followed by a translation step with the automatic transcripts as input. To address various shortcomings of this paradigm, recent work explores end-to-end trainable direct models that translate without transcribing. However, transcripts can be an indispensable output in practical applications, which often display transcripts alongside the translations to users. We make this common requirement explicit and explore the task of jointly transcribing and translating speech. While high accuracy of transcript and translation are crucial, even highly accurate systems can suffer from inconsistencies between both outputs that degrade the user experience. We introduce a methodology to evaluate consistency and compare several modeling approaches, including the traditional cascaded approach and end-to-end models. We find that direct models are poorly suited to the joint transcription/translation task, but that end-to-end models that feature a coupled inference procedure are able to achieve strong consistency. We further introduce simple techniques for directly optimizing for consistency, and analyze the resulting trade-offs between consistency, transcription accuracy, and translation accuracy.