Abstract:While graph neural networks have shown remarkable success in molecular property prediction, current approaches like the Equivariant Subgraph Aggregation Networks (ESAN) treat molecules as bags of independent substructures, overlooking crucial relationships between these components. We present Graph of Molecule Substructures (GoMS), a novel architecture that explicitly models the interactions and spatial arrangements between molecular substructures. Unlike ESAN's bag-based representation, GoMS constructs a graph where nodes represent subgraphs and edges capture their structural relationships, preserving critical topological information about how substructures are connected and overlap within the molecule. Through extensive experiments on public molecular datasets, we demonstrate that GoMS outperforms ESAN and other baseline methods, with particularly improvements for large molecules containing more than 100 atoms. The performance gap widens as molecular size increases, demonstrating GoMS's effectiveness for modeling industrial-scale molecules. Our theoretical analysis demonstrates that GoMS can distinguish molecules with identical subgraph compositions but different spatial arrangements. Our approach shows particular promise for materials science applications involving complex molecules where properties emerge from the interplay between multiple functional units. By capturing substructure relationships that are lost in bag-based approaches, GoMS represents a significant advance toward scalable and interpretable molecular property prediction for real-world applications.




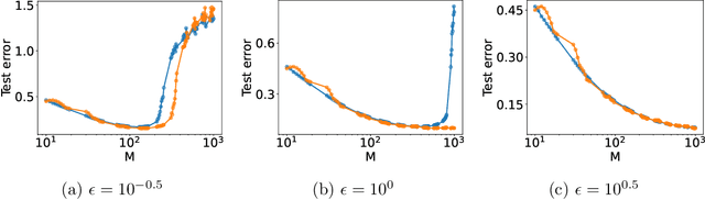
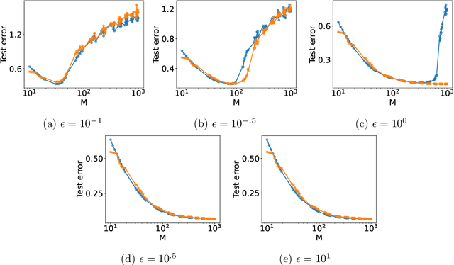
Abstract:Differential privacy has become a cornerstone in the development of privacy-preserving learning algorithms. This work addresses optimizing differentially private kernel learning within the empirical risk minimization (ERM) framework. We propose a novel differentially private kernel ERM algorithm based on random projection in the reproducing kernel Hilbert space using Gaussian processes. Our method achieves minimax-optimal excess risk for both the squared loss and Lipschitz-smooth convex loss functions under a local strong convexity condition. We further show that existing approaches based on alternative dimension reduction techniques, such as random Fourier feature mappings or $\ell_2$ regularization, yield suboptimal generalization performance. Our key theoretical contribution also includes the derivation of dimension-free generalization bounds for objective perturbation-based private linear ERM -- marking the first such result that does not rely on noisy gradient-based mechanisms. Additionally, we obtain sharper generalization bounds for existing differentially private kernel ERM algorithms. Empirical evaluations support our theoretical claims, demonstrating that random projection enables statistically efficient and optimally private kernel learning. These findings provide new insights into the design of differentially private algorithms and highlight the central role of dimension reduction in balancing privacy and utility.