



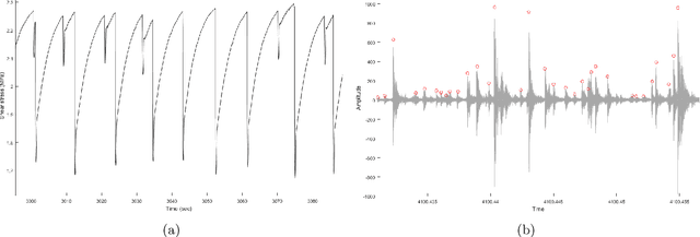
Abstract:When a rock is subjected to stress it deforms by creep mechanisms that include formation and slip on small-scale internal cracks. Intragranular cracks and slip along grain contacts release energy as elastic waves called acoustic emissions (AE). Early research into AEs envisioned that these signals could be used in the future to predict rock falls, mine collapse, or even earthquakes. Today, nondestructive testing, a field of engineering, involves monitoring the spatio-temporal evolution of AEs with the goal of predicting time-to-failure for manufacturing tools and infrastructure. The monitoring process involves clustering AEs by damage mechanism (e.g. matrix cracking, delamination) to track changes within the material. In this study, we aim to adapt aspects of this process to the task of generalized earthquake prediction. Our data are generated in a laboratory setting using a biaxial shearing device and a granular fault gouge that mimics the conditions around tectonic faults. In particular, we analyze the temporal evolution of AEs generated throughout several hundred laboratory earthquake cycles. We use a Conscience Self-Organizing Map (CSOM) to perform topologically ordered vector quantization based on waveform properties. The resulting map is used to interactively cluster AEs according to damage mechanism. Finally, we use an event-based LSTM network to test the predictive power of each cluster. By tracking cumulative waveform features over the seismic cycle, the network is able to forecast the time-to-failure of the fault.