



Abstract:Recent work on promoting cooperation in multi-agent learning has resulted in many methods which successfully promote cooperation at the cost of becoming more vulnerable to exploitation by malicious actors. We show that this is an unavoidable trade-off and propose an objective which balances these concerns, promoting both safety and long-term cooperation. Moreover, the trade-off between safety and cooperation is not severe, and you can receive exponentially large returns through cooperation from a small amount of risk. We study both an exact solution method and propose a method for training policies that targets this objective, Accumulating Risk Capital Through Investing in Cooperation (ARCTIC), and evaluate them in iterated Prisoner's Dilemma and Stag Hunt.




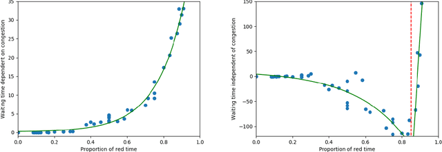
Abstract:Traffic congestion games abstract away from the costs of junctions in transport networks, yet, in urban environments, these often impact journey times significantly. In this paper we equip congestion games with traffic lights, modelled as junction-based waiting cycles, therefore enabling more realistic route planning strategies. Using the SUMO simulator, we show that our modelling choices coincide with realistic routing behaviours, in particular, that drivers' decisions about route choices are based on the proportion of red light time for their direction of travel. Drawing upon the experimental results, we show that the effects of the notorious Braess' paradox can be avoided in theory and significantly reduced in practice, by allocating the appropriate traffic light cycles along a transport network.