



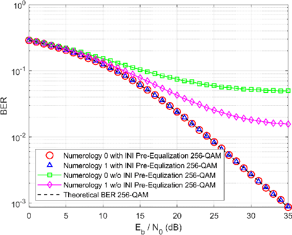
Abstract:This article proposes a pre-equalization method to remove inter-numerology interference (INI) that occurs in multi-numerology OFDM frame structures of fifth-generation New Radio (5G-NR) and beyond on the transmitter side. In the literature, guard bands, filters and interference cancellation methods are used to reduce the INI. In this work, we mathematically model how the INI is generated and how it can be removed completely for multi-numerology systems on the transmitter side.