



Abstract:Integrated sensing and communication (ISAC) for next-generation networks targets robust operation under high mobility and high Doppler spread, leading to severe inter-carrier interference (ICI) in systems based on orthogonal frequency-division multiplexing (OFDM) waveforms. Delay--Doppler (DD)-domain ISAC offers a more robust foundation under high mobility, but it requires a suitable DD-domain pulse-shaping filter. The prevailing DD pulse designs are either communication-centric or static, which limits adaptation to non-stationary channels and diverse application demands. To address this limitation, this paper introduces the tunable Gaussian pulse (TGP), a DD-native, analytically tunable pulse shape parameterized by its aspect ratio \( γ\), chirp rate \( α_c \), and phase coupling \( β_c \). On the sensing side, we derive closed-form Cramér--Rao lower bounds (CRLBs) that map \( (γ,α_c,β_c) \) to fundamental delay and Doppler precision. On the communications side, we show that \( α_c \) and \( β_c \) reshape off-diagonal covariance, and thus inter-symbol interference (ISI), without changing received power, isolating capacity effects to interference structure rather than power loss. A comprehensive trade-off analysis demonstrates that the TGP spans a flexible operational region from the high capacity of the Sinc pulse to the high precision of the root raised cosine (RRC) pulse. Notably, TGP attains near-RRC sensing precision while retaining over \( 90\% \) of Sinc's maximum capacity, achieving a balanced operating region that is not attainable by conventional static pulse designs.




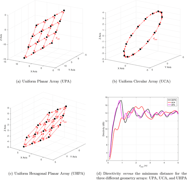
Abstract:The problem of directivity enhancement, leading to the increase in the directivity gain over a certain desired angle of arrival/departure (AoA/AoD), is considered in this work. A new formulation of the volumetric array directivity problem is proposed using the rectangular coordinates to describe each antenna element and the desired azimuth and elevation angles with a general element pattern. Such a directivity problem is formulated to find the optimal minimum distance between the antenna elements $d_\text{min}$ aiming to achieve as high directivity gains as possible. {An expedited implementation method is developed to place the antenna elements in a distinctive plane dependent on ($\theta_0$; $\phi_0$). A novel concept on optimizing directivity for the uniform planar array (OUPA) is introduced to find a quasi-optimal solution for the non-convex optimization problem with low complexity. This solution is reached by deploying the proposed successive evaluation and validation (SEV) method. {Moreover, the genetic} algorithm (GA) method was deployed to find the directivity optimization solution expeditiously. For a small number of antenna elements {, typically $N\in [4,\dots, 9]$,} the achievable directivity by GA optimization demonstrates gains of $\sim 3$ dBi compared with the traditional beamforming technique, using steering vector for uniform linear arrays (ULA) and uniform circular arrays (UCA), while gains of $\sim1.5$ dBi are attained when compared with an improved UCA directivity method. For a larger number of antenna elements {, two improved GA procedures, namely GA-{\it marginal} and GA-{\it stall}, were} proposed and compared with the OUPA method. OUPA also indicates promising directivity gains surpassing $30$ dBi for massive MIMO scenarios.