



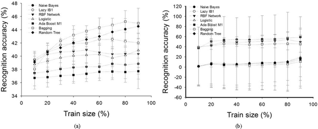
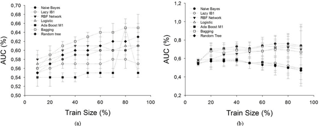
Abstract:Recognizing emotion from speech has become one the active research themes in speech processing and in applications based on human-computer interaction. This paper conducts an experimental study on recognizing emotions from human speech. The emotions considered for the experiments include neutral, anger, joy and sadness. The distinuishability of emotional features in speech were studied first followed by emotion classification performed on a custom dataset. The classification was performed for different classifiers. One of the main feature attribute considered in the prepared dataset was the peak-to-peak distance obtained from the graphical representation of the speech signals. After performing the classification tests on a dataset formed from 30 different subjects, it was found that for getting better accuracy, one should consider the data collected from one person rather than considering the data from a group of people.
