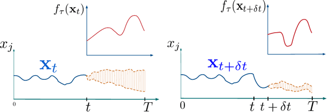
Abstract:Early Classification of Time Series (ECTS) addresses decision-making problems in which predictions must be made as early as possible while maintaining high accuracy. Most existing ECTS methods assume that the time-dependent decision costs governing the learning objective are known, fixed, and correctly specified. In practice, however, these costs are often uncertain and may change over time, leading to mismatches between training-time and deployment-time objectives. In this paper, we study ECTS under two practically relevant forms of cost non-stationarity: drift in the balance between misclassification and decision delay costs, and stochastic realizations of decision costs that deviate from the nominal training-time model. To address these challenges, we revisit representative ECTS approaches and adapt them to an online learning setting. Focusing on separable methods, we update only the triggering model during deployment, while keeping the classifier fixed. We propose several online adaptations and baselines, including bandit-based and RL-based approaches, and conduct controlled experiments on synthetic data to systematically evaluate robustness under cost non-stationarity. Our results demonstrate that online learning can effectively improve the robustness of ECTS methods to cost drift, with RL-based strategies exhibiting strong and stable performance across varying cost regimes.




Abstract:Early Classification of Time Series (ECTS) has been recognized as an important problem in many areas where decisions have to be taken as soon as possible, before the full data availability, while time pressure increases. Numerous ECTS approaches have been proposed, based on different triggering functions, each taking into account various pieces of information related to the incoming time series and/or the output of a classifier. Although their performances have been empirically compared in the literature, no studies have been carried out on the optimality of these triggering functions that involve ``man-tailored'' decision rules. Based on the same information, could there be better triggering functions? This paper presents one way to investigate this question by showing first how to translate ECTS problems into Reinforcement Learning (RL) ones, where the very same information is used in the state space. A thorough comparison of the performance obtained by ``handmade'' approaches and their ``RL-based'' counterparts has been carried out. A second question investigated in this paper is whether a different combination of information, defining the state space in RL systems, can achieve even better performance. Experiments show that the system we describe, called \textsc{Alert}, significantly outperforms its state-of-the-art competitors on a large number of datasets.

Abstract:\texttt{ml\_edm} is a Python 3 library, designed for early decision making of any learning tasks involving temporal/sequential data. The package is also modular, providing researchers an easy way to implement their own triggering strategy for classification, regression or any machine learning task. As of now, many Early Classification of Time Series (ECTS) state-of-the-art algorithms, are efficiently implemented in the library leveraging parallel computation. The syntax follows the one introduce in \texttt{scikit-learn}, making estimators and pipelines compatible with \texttt{ml\_edm}. This software is distributed over the BSD-3-Clause license, source code can be found at \url{https://github.com/ML-EDM/ml_edm}.




Abstract:In many situations, the measurements of a studied phenomenon are provided sequentially, and the prediction of its class needs to be made as early as possible so as not to incur too high a time penalty, but not too early and risk paying the cost of misclassification. This problem has been particularly studied in the case of time series, and is known as Early Classification of Time Series (ECTS). Although it has been the subject of a growing body of literature, there is still a lack of a systematic, shared evaluation protocol to compare the relative merits of the various existing methods. This document begins by situating these methods within a principle-based taxonomy. It defines dimensions for organizing their evaluation, and then reports the results of a very extensive set of experiments along these dimensions involving nine state-of-the art ECTS algorithms. In addition, these and other experiments can be carried out using an open-source library in which most of the existing ECTS algorithms have been implemented (see \url{https://github.com/ML-EDM/ml_edm}).
Abstract:Training machine learning models from data with weak supervision and dataset shifts is still challenging. Designing algorithms when these two situations arise has not been explored much, and existing algorithms cannot always handle the most complex distributional shifts. We think the biquality data setup is a suitable framework for designing such algorithms. Biquality Learning assumes that two datasets are available at training time: a trusted dataset sampled from the distribution of interest and the untrusted dataset with dataset shifts and weaknesses of supervision (aka distribution shifts). The trusted and untrusted datasets available at training time make designing algorithms dealing with any distribution shifts possible. We propose two methods, one inspired by the label noise literature and another by the covariate shift literature for biquality learning. We experiment with two novel methods to synthetically introduce concept drift and class-conditional shifts in real-world datasets across many of them. We opened some discussions and assessed that developing biquality learning algorithms robust to distributional changes remains an interesting problem for future research.

Abstract:The democratization of Data Mining has been widely successful thanks in part to powerful and easy-to-use Machine Learning libraries. These libraries have been particularly tailored to tackle Supervised Learning. However, strong supervision signals are scarce in practice, and practitioners must resort to weak supervision. In addition to weaknesses of supervision, dataset shifts are another kind of phenomenon that occurs when deploying machine learning models in the real world. That is why Biquality Learning has been proposed as a machine learning framework to design algorithms capable of handling multiple weaknesses of supervision and dataset shifts without assumptions on their nature and level by relying on the availability of a small trusted dataset composed of cleanly labeled and representative samples. Thus we propose biquality-learn: a Python library for Biquality Learning with an intuitive and consistent API to learn machine learning models from biquality data, with well-proven algorithms, accessible and easy to use for everyone, and enabling researchers to experiment in a reproducible way on biquality data.




Abstract:More and more applications require early decisions, i.e. taken as soon as possible from partially observed data. However, the later a decision is made, the more its accuracy tends to improve, since the description of the problem to hand is enriched over time. Such a compromise between the earliness and the accuracy of decisions has been particularly studied in the field of Early Time Series Classification. This paper introduces a more general problem, called Machine Learning based Early Decision Making (ML-EDM), which consists in optimizing the decision times of models in a wide range of settings where data is collected over time. After defining the ML-EDM problem, ten challenges are identified and proposed to the scientific community to further research in this area. These challenges open important application perspectives, discussed in this paper.




Abstract:Learning to predict ahead of time events in open time series is challenging. While Early Classification of Time Series (ECTS) tackles the problem of balancing online the accuracy of the prediction with the cost of delaying the decision when the individuals are time series of finite length with a unique label for the whole time series. Surprisingly, this trade-off has never been investigated for open time series with undetermined length and with different classes for each subsequence of the same time series. In this paper, we propose a principled method to adapt any technique for ECTS to the Early Classification in Open Time Series (ECOTS). We show how the classifiers must be constructed and what the decision triggering system becomes in this new scenario. We address the challenge of decision making in the predictive maintenance field. We illustrate our methodology by transforming two state-of-the-art ECTS algorithms for the ECOTS scenario and report numerical experiments on a real dataset for predictive maintenance that demonstrate the practicality of the novel approach.



Abstract:Many approaches have been proposed for early classification of time series in light of itssignificance in a wide range of applications including healthcare, transportation and fi-nance. Until now, the early classification problem has been dealt with by considering onlyirrevocable decisions. This paper introduces a new problem calledearly and revocabletimeseries classification, where the decision maker can revoke its earlier decisions based on thenew available measurements. In order to formalize and tackle this problem, we propose anew cost-based framework and derive two new approaches from it. The first approach doesnot consider explicitly the cost of changing decision, while the second one does. Exten-sive experiments are conducted to evaluate these approaches on a large benchmark of realdatasets. The empirical results obtained convincingly show (i) that the ability of revok-ing decisions significantly improves performance over the irrevocable regime, and (ii) thattaking into account the cost of changing decision brings even better results in general.Keywords:revocable decisions, cost estimation, online decision making




Abstract:In this paper we show that the combination of a Contrastive representation with a label noise-robust classification head requires fine-tuning the representation in order to achieve state-of-the-art performances. Since fine-tuned representations are shown to outperform frozen ones, one can conclude that noise-robust classification heads are indeed able to promote meaningful representations if provided with a suitable starting point. Experiments are conducted to draw a comprehensive picture of performances by featuring six methods and nine noise instances of three different kinds (none, symmetric, and asymmetric). In presence of noise the experiments show that fine tuning of Contrastive representation allows the six methods to achieve better results than end-to-end learning and represent a new reference compare to the recent state of art. Results are also remarkable stable versus the noise level.