



Abstract:The data for many classification problems, such as pattern and speech recognition, follow mixture distributions. To quantify the optimum performance for classification tasks, the Shannon mutual information is a natural information-theoretic metric, as it is directly related to the probability of error. The mutual information between mixture data and the class label does not have an analytical expression, nor any efficient computational algorithms. We introduce a variational upper bound, a lower bound, and three estimators, all employing pair-wise divergences between mixture components. We compare the new bounds and estimators with Monte Carlo stochastic sampling and bounds derived from entropy bounds. To conclude, we evaluate the performance of the bounds and estimators through numerical simulations.




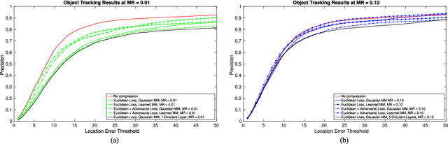
Abstract:Traditional algorithms for compressive sensing recovery are computationally expensive and are ineffective at low measurement rates. In this work, we propose a data driven non-iterative algorithm to overcome the shortcomings of earlier iterative algorithms. Our solution, ReconNet, is a deep neural network, whose parameters are learned end-to-end to map block-wise compressive measurements of the scene to the desired image blocks. Reconstruction of an image becomes a simple forward pass through the network and can be done in real-time. We show empirically that our algorithm yields reconstructions with higher PSNRs compared to iterative algorithms at low measurement rates and in presence of measurement noise. We also propose a variant of ReconNet which uses adversarial loss in order to further improve reconstruction quality. We discuss how adding a fully connected layer to the existing ReconNet architecture allows for jointly learning the measurement matrix and the reconstruction algorithm in a single network. Experiments on real data obtained from a block compressive imager show that our networks are robust to unseen sensor noise. Finally, through an experiment in object tracking, we show that even at very low measurement rates, reconstructions using our algorithm possess rich semantic content that can be used for high level inference.




Abstract:The goal of this paper is to present a non-iterative and more importantly an extremely fast algorithm to reconstruct images from compressively sensed (CS) random measurements. To this end, we propose a novel convolutional neural network (CNN) architecture which takes in CS measurements of an image as input and outputs an intermediate reconstruction. We call this network, ReconNet. The intermediate reconstruction is fed into an off-the-shelf denoiser to obtain the final reconstructed image. On a standard dataset of images we show significant improvements in reconstruction results (both in terms of PSNR and time complexity) over state-of-the-art iterative CS reconstruction algorithms at various measurement rates. Further, through qualitative experiments on real data collected using our block single pixel camera (SPC), we show that our network is highly robust to sensor noise and can recover visually better quality images than competitive algorithms at extremely low sensing rates of 0.1 and 0.04. To demonstrate that our algorithm can recover semantically informative images even at a low measurement rate of 0.01, we present a very robust proof of concept real-time visual tracking application.