Abstract:Artificial Life (ALife) as an interdisciplinary field draws inspiration and influence from a variety of perspectives. Scientific progress crucially depends, then, on concerted efforts to invite cross-disciplinary dialogue. The goal of this paper is to revitalize discussions of potential connections between the fields of Computational Creativity (CC) and ALife, focusing specifically on the concept of Open-Endedness (OE); the primary goal of CC is to endow artificial systems with creativity, and ALife has dedicated much research effort into studying and synthesizing OE and artificial innovation. However, despite the close proximity of these concepts, their use so far remains confined to their respective communities, and their relationship is largely unclear. We provide historical context for research in both domains, and review the limited work connecting research on creativity and OE explicitly. We then highlight specific questions to be considered, with the eventual goals of (i) decreasing conceptual ambiguity by highlighting similarities and differences between the concepts of OE, (ii) identifying synergy effects of a research agenda that encompasses both OE and creativity, and (iii) establishing a dialogue between ALife and CC research.
Abstract:We introduce a general-purpose univariate signal deconvolution method based on the principles of an approach to Artificial General Intelligence. This approach is based on a generative model that combines information theory and algorithmic probability that required a large calculation of an estimation of a `universal distribution' to build a general-purpose model of models independent of probability distributions. This was used to investigate how non-random data may encode information about the physical properties such as dimension and length scales in which a signal or message may have been originally encoded, embedded, or generated. This multidimensional space reconstruction method is based on information theory and algorithmic probability, and it is agnostic, but not independent, with respect to the chosen computable or semi-computable approximation method or encoding-decoding scheme. The results presented in this paper are useful for applications in coding theory, particularly in zero-knowledge one-way communication channels, such as in deciphering messages sent by generating sources of unknown nature for which no prior knowledge is available. We argue that this can have strong potential for cryptography, signal processing, causal deconvolution, life, and techno signature detection.




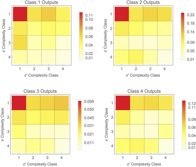
Abstract:Can we quantify the change of complexity throughout evolutionary processes? We attempt to address this question through an empirical approach. In very general terms, we simulate two simple organisms on a computer that compete over limited available resources. We implement Global Rules that determine the interaction between two Elementary Cellular Automata on the same grid. Global Rules change the complexity of the state evolution output which suggests that some complexity is intrinsic to the interaction rules themselves. The largest increases in complexity occurred when the interacting elementary rules had very little complexity, suggesting that they are able to accept complexity through interaction only. We also found that some Class 3 or 4 CA rules are more fragile than others to Global Rules, while others are more robust, hence suggesting some intrinsic properties of the rules independent of the Global Rule choice. We provide statistical mappings of Elementary Cellular Automata exposed to Global Rules and different initial conditions onto different complexity classes.