



Abstract:Accurate detection of traffic anomalies is crucial for effective urban traffic management and congestion mitigation. We use the Spatiotemporal Generative Adversarial Network (STGAN) framework combining Graph Neural Networks and Long Short-Term Memory networks to capture complex spatial and temporal dependencies in traffic data. We apply STGAN to real-time, minute-by-minute observations from 42 traffic cameras across Gothenburg, Sweden, collected over several months in 2020. The images are processed to compute a flow metric representing vehicle density, which serves as input for the model. Training is conducted on data from April to November 2020, and validation is performed on a separate dataset from November 14 to 23, 2020. Our results demonstrate that the model effectively detects traffic anomalies with high precision and low false positive rates. The detected anomalies include camera signal interruptions, visual artifacts, and extreme weather conditions affecting traffic flow.




Abstract:The handover (HO) procedure is one of the most critical functions in a cellular network driven by measurements of the user channel of the serving and neighboring cells. The success rate of the entire HO procedure is significantly affected by the preparation stage. As massive Multiple-Input Multiple-Output (MIMO) systems with large antenna arrays allow resolving finer details of channel behavior, we investigate how machine learning can be applied to time series data of beam measurements in the Fifth Generation (5G) New Radio (NR) system to improve the HO procedure. This paper introduces the Early-Scheduled Handover Preparation scheme designed to enhance the robustness and efficiency of the HO procedure, particularly in scenarios involving high mobility and dense small cell deployments. Early-Scheduled Handover Preparation focuses on optimizing the timing of the HO preparation phase by leveraging machine learning techniques to predict the earliest possible trigger points for HO events. We identify a new early trigger for HO preparation and demonstrate how it can beneficially reduce the required time for HO execution reducing channel quality degradation. These insights enable a new HO preparation scheme that offers a novel, user-aware, and proactive HO decision making in MIMO scenarios incorporating mobility.




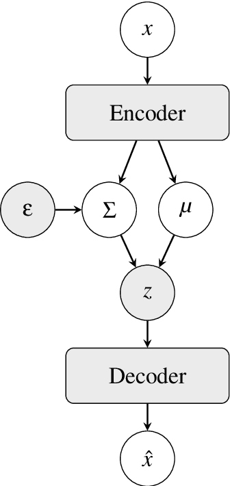
Abstract:We propose a novel Conditional Latent space Variational Autoencoder (CL-VAE) to perform improved pre-processing for anomaly detection on data with known inlier classes and unknown outlier classes. This proposed variational autoencoder (VAE) improves latent space separation by conditioning on information within the data. The method fits a unique prior distribution to each class in the dataset, effectively expanding the classic prior distribution for VAEs to include a Gaussian mixture model. An ensemble of these VAEs are merged in the latent spaces to form a group consensus that greatly improves the accuracy of anomaly detection across data sets. Our approach is compared against the capabilities of a typical VAE, a CNN, and a PCA, with regards AUC for anomaly detection. The proposed model shows increased accuracy in anomaly detection, achieving an AUC of 97.4% on the MNIST dataset compared to 95.7% for the second best model. In addition, the CL-VAE shows increased benefits from ensembling, a more interpretable latent space, and an increased ability to learn patterns in complex data with limited model sizes.




Abstract:We propose a methodology to enhance local CO2 monitoring by integrating satellite data from the Orbiting Carbon Observatories (OCO-2 and OCO-3) with ground level observations from the Integrated Carbon Observation System (ICOS) and weather data from the ECMWF Reanalysis v5 (ERA5). Unlike traditional methods that downsample national data, our approach uses multimodal data fusion for high-resolution CO2 estimations. We employ weighted K-nearest neighbor (KNN) interpolation with machine learning models to predict ground level CO2 from satellite measurements, achieving a Root Mean Squared Error of 3.92 ppm. Our results show the effectiveness of integrating diverse data sources in capturing local emission patterns, highlighting the value of high-resolution atmospheric transport models. The developed model improves the granularity of CO2 monitoring, providing precise insights for targeted carbon mitigation strategies, and represents a novel application of neural networks and KNN in environmental monitoring, adaptable to various regions and temporal scales.




Abstract:Millimeter-wave cellular communication requires beamforming procedures that enable alignment of the transmitter and receiver beams as the user equipment (UE) moves. For efficient beam tracking it is advantageous to classify users according to their traffic and mobility patterns. Research to date has demonstrated efficient ways of machine learning based UE classification. Although different machine learning approaches have shown success, most of them are based on physical layer attributes of the received signal. This, however, imposes additional complexity and requires access to those lower layer signals. In this paper, we show that traditional supervised and even unsupervised machine learning methods can successfully be applied on higher layer channel measurement reports in order to perform UE classification, thereby reducing the complexity of the classification process.




Abstract:We propose a new type of variational autoencoder to perform improved pre-processing for clustering and anomaly detection on data with a given label. Anomalies however are not known or labeled. We call our method conditional latent space variational autonencoder since it separates the latent space by conditioning on information within the data. The method fits one prior distribution to each class in the dataset, effectively expanding the prior distribution to include a Gaussian mixture model. Our approach is compared against the capabilities of a typical variational autoencoder by measuring their V-score during cluster formation with respect to the k-means and EM algorithms. For anomaly detection, we use a new metric composed of the mass-volume and excess-mass curves which can work in an unsupervised setting. We compare the results between established methods such as as isolation forest, local outlier factor and one-class support vector machine.