


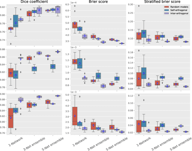
Abstract:Despite the astonishing performance of deep-learning based approaches for visual tasks such as semantic segmentation, they are known to produce miscalibrated predictions, which could be harmful for critical decision-making processes. Ensemble learning has shown to not only boost the performance of individual models but also reduce their miscalibration by averaging independent predictions. In this scenario, model diversity has become a key factor, which facilitates individual models converging to different functional solutions. In this work, we introduce Orthogonal Ensemble Networks (OEN), a novel framework to explicitly enforce model diversity by means of orthogonal constraints. The proposed method is based on the hypothesis that inducing orthogonality among the constituents of the ensemble will increase the overall model diversity. We resort to a new pairwise orthogonality constraint which can be used to regularize a sequential ensemble training process, resulting on improved predictive performance and better calibrated model outputs. We benchmark the proposed framework in two challenging brain lesion segmentation tasks --brain tumor and white matter hyper-intensity segmentation in MR images. The experimental results show that our approach produces more robust and well-calibrated ensemble models and can deal with challenging tasks in the context of biomedical image segmentation.




Abstract:Deep convolutional neural networks (CNN) proved to be highly accurate to perform anatomical segmentation of medical images. However, some of the most popular CNN architectures for image segmentation still rely on post-processing strategies (e.g. Conditional Random Fields) to incorporate connectivity constraints into the resulting masks. These post-processing steps are based on the assumption that objects are usually continuous and therefore nearby pixels should be assigned the same object label. Even if it is a valid assumption in general, these methods do not offer a straightforward way to incorporate more complex priors like convexity or arbitrary shape restrictions. In this work we propose Post-DAE, a post-processing method based on denoising autoencoders (DAE) trained using only segmentation masks. We learn a low-dimensional space of anatomically plausible segmentations, and use it as a post-processing step to impose shape constraints on the resulting masks obtained with arbitrary segmentation methods. Our approach is independent of image modality and intensity information since it employs only segmentation masks for training. This enables the use of anatomical segmentations that do not need to be paired with intensity images, making the approach very flexible. Our experimental results on anatomical segmentation of X-ray images show that Post-DAE can improve the quality of noisy and incorrect segmentation masks obtained with a variety of standard methods, by bringing them back to a feasible space, with almost no extra computational time.