Abstract:Recent advances at the intersection of control theory, neuroscience, and machine learning have revealed novel mechanisms by which dynamical systems perform computation. These advances encompass a wide range of conceptual, mathematical, and computational ideas, with applications for model learning and training, memory retrieval, data-driven control, and optimization. This tutorial focuses on neuro-inspired approaches to computation that aim to improve scalability, robustness, and energy efficiency across such tasks, bridging the gap between artificial and biological systems. Particular emphasis is placed on energy-based dynamical models that encode information through gradient flows and energy landscapes. We begin by reviewing classical formulations, such as continuous-time Hopfield networks and Boltzmann machines, and then extend the framework to modern developments. These include dense associative memory models for high-capacity storage, oscillator-based networks for large-scale optimization, and proximal-descent dynamics for composite and constrained reconstruction. The tutorial demonstrates how control-theoretic principles can guide the design of next-generation neurocomputing systems, steering the discussion beyond conventional feedforward and backpropagation-based approaches to artificial intelligence.
Abstract:Recent developments in synthetic biology, next-generation sequencing, and machine learning provide an unprecedented opportunity to rationally design new disease treatments based on measured responses to gene perturbations and drugs to reprogram cells. The main challenges to seizing this opportunity are the incomplete knowledge of the cellular network and the combinatorial explosion of possible interventions, both of which are insurmountable by experiments. To address these challenges, we develop a transfer learning approach to control cell behavior that is pre-trained on transcriptomic data associated with human cell fates, thereby generating a model of the network dynamics that can be transferred to specific reprogramming goals. The approach combines transcriptional responses to gene perturbations to minimize the difference between a given pair of initial and target transcriptional states. We demonstrate our approach's versatility by applying it to a microarray dataset comprising >9,000 microarrays across 54 cell types and 227 unique perturbations, and an RNASeq dataset consisting of >10,000 sequencing runs across 36 cell types and 138 perturbations. Our approach reproduces known reprogramming protocols with an AUROC of 0.91 while innovating over existing methods by pre-training an adaptable model that can be tailored to specific reprogramming transitions. We show that the number of gene perturbations required to steer from one fate to another increases with decreasing developmental relatedness and that fewer genes are needed to progress along developmental paths than to regress. These findings establish a proof-of-concept for our approach to computationally design control strategies and provide insights into how gene regulatory networks govern phenotype.
Abstract:The relationship between microscopic observations and macroscopic behavior is a fundamental open question in biophysical systems. Here, we develop a unified approach that---in contrast with existing methods---predicts cell type from macromolecular data even when accounting for the scale of human tissue diversity and limitations in the available data. We achieve these benefits by applying a k-nearest-neighbors algorithm after projecting our data onto the eigenvectors of the correlation matrix inferred from many observations of gene expression or chromatin conformation. Our approach identifies variations in epigenotype that impact cell type, thereby supporting the cell type attractor hypothesis and representing the first step toward model-independent control strategies in biological systems.




Abstract:The word-stock of a language is a complex dynamical system in which words can be created, evolve, and become extinct. Even more dynamic are the short-term fluctuations in word usage by individuals in a population. Building on the recent demonstration that word niche is a strong determinant of future rise or fall in word frequency, here we introduce a model that allows us to distinguish persistent from temporary increases in frequency. Our model is illustrated using a 10^8-word database from an online discussion group and a 10^11-word collection of digitized books. The model reveals a strong relation between changes in word dissemination and changes in frequency. Aside from their implications for short-term word frequency dynamics, these observations are potentially important for language evolution as new words must survive in the short term in order to survive in the long term.




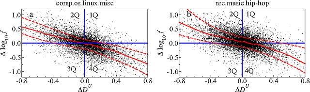
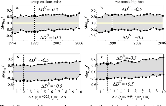
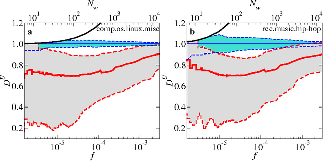
Abstract:Patterns of word use both reflect and influence a myriad of human activities and interactions. Like other entities that are reproduced and evolve, words rise or decline depending upon a complex interplay between {their intrinsic properties and the environments in which they function}. Using Internet discussion communities as model systems, we define the concept of a word niche as the relationship between the word and the characteristic features of the environments in which it is used. We develop a method to quantify two important aspects of the size of the word niche: the range of individuals using the word and the range of topics it is used to discuss. Controlling for word frequency, we show that these aspects of the word niche are strong determinants of changes in word frequency. Previous studies have already indicated that word frequency itself is a correlate of word success at historical time scales. Our analysis of changes in word frequencies over time reveals that the relative sizes of word niches are far more important than word frequencies in the dynamics of the entire vocabulary at shorter time scales, as the language adapts to new concepts and social groupings. We also distinguish endogenous versus exogenous factors as additional contributors to the fates of words, and demonstrate the force of this distinction in the rise of novel words. Our results indicate that short-term nonstationarity in word statistics is strongly driven by individual proclivities, including inclinations to provide novel information and to project a distinctive social identity.




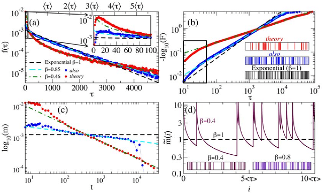
Abstract:Background: Zipf's discovery that word frequency distributions obey a power law established parallels between biological and physical processes, and language, laying the groundwork for a complex systems perspective on human communication. More recent research has also identified scaling regularities in the dynamics underlying the successive occurrences of events, suggesting the possibility of similar findings for language as well. Methodology/Principal Findings: By considering frequent words in USENET discussion groups and in disparate databases where the language has different levels of formality, here we show that the distributions of distances between successive occurrences of the same word display bursty deviations from a Poisson process and are well characterized by a stretched exponential (Weibull) scaling. The extent of this deviation depends strongly on semantic type -- a measure of the logicality of each word -- and less strongly on frequency. We develop a generative model of this behavior that fully determines the dynamics of word usage. Conclusions/Significance: Recurrence patterns of words are well described by a stretched exponential distribution of recurrence times, an empirical scaling that cannot be anticipated from Zipf's law. Because the use of words provides a uniquely precise and powerful lens on human thought and activity, our findings also have implications for other overt manifestations of collective human dynamics.