

Abstract:A common setting for scientific inference is the ability to sample from a high-fidelity forward model (simulation) without having an explicit probability density of the data. We propose a simulation-based maximum likelihood deconvolution approach in this setting called OmniFold. Deep learning enables this approach to be naturally unbinned and (variable-, and) high-dimensional. In contrast to model parameter estimation, the goal of deconvolution is to remove detector distortions in order to enable a variety of down-stream inference tasks. Our approach is the deep learning generalization of the common Richardson-Lucy approach that is also called Iterative Bayesian Unfolding in particle physics. We show how OmniFold can not only remove detector distortions, but it can also account for noise processes and acceptance effects.




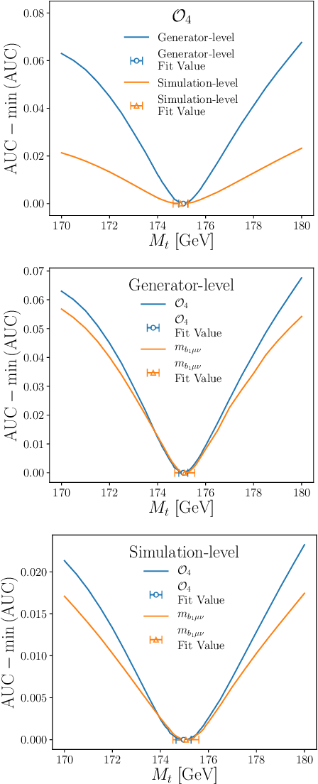
Abstract:Histogram-based template fits are the main technique used for estimating parameters of high energy physics Monte Carlo generators. Parameterized neural network reweighting can be used to extend this fitting procedure to many dimensions and does not require binning. If the fit is to be performed using reconstructed data, then expensive detector simulations must be used for training the neural networks. We introduce a new two-level fitting approach that only requires one dataset with detector simulation and then a set of additional generation-level datasets without detector effects included. This Simulation-level fit based on Reweighting Generator-level events with Neural networks (SRGN) is demonstrated using simulated datasets for a variety of examples including a simple Gaussian random variable, parton shower tuning, and the top quark mass extraction.