



Abstract:In medical field, intravascular ultrasound (IVUS) is a tomographic imaging modality, which can identify the boundaries of different layers of blood vessels. IVUS can detect myocardial infarction (heart attack) that remains ignored and unattended when only angioplasty is done. During the past decade, it became easier for some individuals or groups to copy and transmits digital information without the permission of the owner. For increasing authentication and security of copyrights, digital watermarking, an information hiding technique, was introduced. Achieving watermarking technique with lesser amount of distortion in biomedical data is a challenging task. Watermark can be embedded into an image or in a video. As video data is a huge amount of information, therefore a large storage area is needed which is not feasible. In this case motion vector based video compression is done to reduce size. In this present paper, an Electronic Patient Record (EPR) is embedded as watermark within an IVUS video and then motion vector is calculated. This proposed method proves robustness as the extracted watermark has good PSNR value and less MSE.




Abstract:In the past few years, like other fields, rapid expansion of digitization and globalization has influenced the medical field as well. For progress of diagnostic results most of the reputed hospitals and diagnostic centres all over the world have started exchanging medical information. In this proposed method, the calculated diagnostic parametric values of the original Electrooculography (EOG) signal are embedded as a watermark by using Difference Expansion (DE) algorithm based reversible watermarking technique. The extracted watermark provides the required parametric values at the recipient end without any post computation of the recovered EOG signal. By computing the parametric values from the recovered signal, the integrity of the extracted watermark can be validated. The time domain features of EOG signal are calculated for the generation of watermark. In the current work, various features are studied and two major features related to blink frequency are used to generate the watermark. The high Signal to Noise Ratio (SNR) and the Bit Error Rate (BER) claim the robustness of the proposed method.




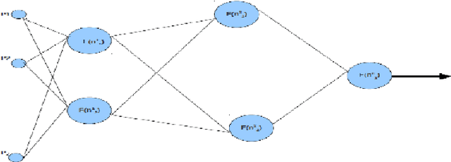
Abstract:Back-propagation algorithm is one of the most widely used and popular techniques to optimize the feed forward neural network training. Nature inspired meta-heuristic algorithms also provide derivative-free solution to optimize complex problem. Artificial bee colony algorithm is a nature inspired meta-heuristic algorithm, mimicking the foraging or food source searching behaviour of bees in a bee colony and this algorithm is implemented in several applications for an improved optimized outcome. The proposed method in this paper includes an improved artificial bee colony algorithm based back-propagation neural network training method for fast and improved convergence rate of the hybrid neural network learning method. The result is analysed with the genetic algorithm based back-propagation method, and it is another hybridized procedure of its kind. Analysis is performed over standard data sets, reflecting the light of efficiency of proposed method in terms of convergence speed and rate.




Abstract:The present work proposes a computer-aided normal and abnormal heart sound identification based on Discrete Wavelet Transform (DWT), it being useful for tele-diagnosis of heart diseases. Due to the presence of Cumulative Frequency components in the spectrogram, DWT is applied on the spectro-gram up to n level to extract the features from the individual approximation components. One dimensional feature vector is obtained by evaluating the Row Mean of the approximation components of these spectrograms. For this present approach, the set of spectrograms has been considered as the database, rather than raw sound samples. Minimum Euclidean distance is computed between feature vector of the test sample and the feature vectors of the stored samples to identify the heart sound. By applying this algorithm, almost 82% of accuracy was achieved.



Abstract:Segmentation of blood vessels in retinal images provides early diagnosis of diseases like glaucoma, diabetic retinopathy and macular degeneration. Among these diseases occurrence of Glaucoma is most frequent and has serious ocular consequences that can even lead to blindness, if it is not detected early. The clinical criteria for the diagnosis of glaucoma include intraocular pressure measurement, optic nerve head evaluation, retinal nerve fiber layer and visual field defects. This form of blood vessel segmentation helps in early detection for ophthalmic diseases, and potentially reduces the risk of blindness. The low-contrast images at the retina owing to narrow blood vessels of the retina are difficult to extract. These low contrast images are, however useful in revealing certain systemic diseases. Motivated by the goals of improving detection of such vessels, this present work proposes an algorithm for segmentation of blood vessels and compares the results between expert ophthalmologist hand-drawn ground-truths and segmented image(i.e. the output of the present work).Sensitivity, specificity, positive predictive value (PPV), positive likelihood ratio (PLR) and accuracy are used to evaluate overall performance.It is found that this work segments blood vessels successfully with sensitivity, specificity, PPV, PLR and accuracy of 99.62%, 54.66%, 95.08%, 219.72 and 95.03%, respectively.




Abstract:Digital Retinal Fundus Images helps to detect various ophthalmic diseases by detecting morphological changes in optical cup, optical disc and macula. Present work proposes a method for the authentication of medical images based on Discrete Wavelet Transformation (DWT) and Spread Spectrum. Proper selection of the Non Region of Interest (NROI) for watermarking is crucial, as the area under concern has to be the least required portion conveying any medical information. Proposed method discusses both the selection of least impact area and the blind watermarking technique. Watermark is embedded within the High-High (HH) sub band. During embedding, watermarked image is dispersed within the band using a pseudo random sequence and a Session key. Watermarked image is extracted using the session key and the size of the image. In this approach the generated watermarked image having an acceptable level of imperceptibility and distortion is compared to the Original retinal image based on Peak Signal to Noise Ratio (PSNR) and correlation value.




Abstract:The growth of world-wide-web (WWW) spreads its wings from an intangible quantities of web-pages to a gigantic hub of web information which gradually increases the complexity of crawling process in a search engine. A search engine handles a lot of queries from various parts of this world, and the answers of it solely depend on the knowledge that it gathers by means of crawling. The information sharing becomes a most common habit of the society, and it is done by means of publishing structured, semi-structured and unstructured resources on the web. This social practice leads to an exponential growth of web-resource, and hence it became essential to crawl for continuous updating of web-knowledge and modification of several existing resources in any situation. In this paper one statistical hypothesis based learning mechanism is incorporated for learning the behavior of crawling speed in different environment of network, and for intelligently control of the speed of crawler. The scaling technique is used to compare the performance proposed method with the standard crawler. The high speed performance is observed after scaling, and the retrieval of relevant web-resource in such a high speed is analyzed.




Abstract:The growth of world-wide-web (WWW) spreads its wings from an intangible quantities of web-pages to a gigantic hub of web information which gradually increases the complexity of crawling process in a search engine. A search engine handles a lot of queries from various parts of this world, and the answers of it solely depend on the knowledge that it gathers by means of crawling. The information sharing becomes a most common habit of the society, and it is done by means of publishing structured, semi-structured and unstructured resources on the web. This social practice leads to an exponential growth of web-resource, and hence it became essential to crawl for continuous updating of web-knowledge and modification of several existing resources in any situation. In this paper one statistical hypothesis based learning mechanism is incorporated for learning the behavior of crawling speed in different environment of network, and for intelligently control of the speed of crawler. The scaling technique is used to compare the performance proposed method with the standard crawler. The high speed performance is observed after scaling, and the retrieval of relevant web-resource in such a high speed is analyzed.
Abstract:Optimization algorithms are normally influenced by meta-heuristic approach. In recent years several hybrid methods for optimization are developed to find out a better solution. The proposed work using meta-heuristic Nature Inspired algorithm is applied with back-propagation method to train a feed-forward neural network. Firefly algorithm is a nature inspired meta-heuristic algorithm, and it is incorporated into back-propagation algorithm to achieve fast and improved convergence rate in training feed-forward neural network. The proposed technique is tested over some standard data set. It is found that proposed method produces an improved convergence within very few iteration. This performance is also analyzed and compared to genetic algorithm based back-propagation. It is observed that proposed method consumes less time to converge and providing improved convergence rate with minimum feed-forward neural network design.




Abstract:The present work deals with an improved back-propagation algorithm based on Gauss-Newton numerical optimization method for fast convergence. The steepest descent method is used for the back-propagation. The algorithm is tested using various datasets and compared with the steepest descent back-propagation algorithm. In the system, optimization is carried out using multilayer neural network. The efficacy of the proposed method is observed during the training period as it converges quickly for the dataset used in test. The requirement of memory for computing the steps of algorithm is also analyzed.