



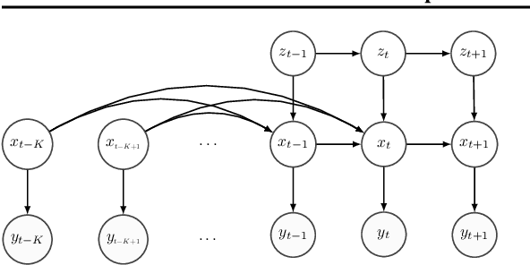
Hidden Markov Models (HMMs) are a powerful generative approach for modeling sequential data and time-series in general. However, the commonly employed assumption of the dependence of the current time frame to a single or multiple immediately preceding frames is unrealistic; more complicated dynamics potentially exist in real world scenarios. Human Action Recognition constitutes such a scenario, and has attracted increased attention with the advent of low-cost 3D sensors. The naturally arising variations and complex temporal dependencies have established this task as a challenging problem in the community. This paper revisits conventional sequential modeling approaches, aiming to address the problem of capturing time-varying temporal dependency patterns. To this end, we propose a different formulation of HMMs, whereby the dependence on past frames is dynamically inferred from the data. Specifically, we introduce a hierarchical extension by postulating an additional latent variable layer; therein, the (time-varying) temporal dependence patterns are treated as latent variables over which inference is performed. We leverage solid arguments from the Variational Bayes framework and derive a tractable inference algorithm based on the forward-backward algorithm. As we experimentally show using benchmark datasets, our approach yields competitive recognition accuracy and can effectively handle data with missing values.