



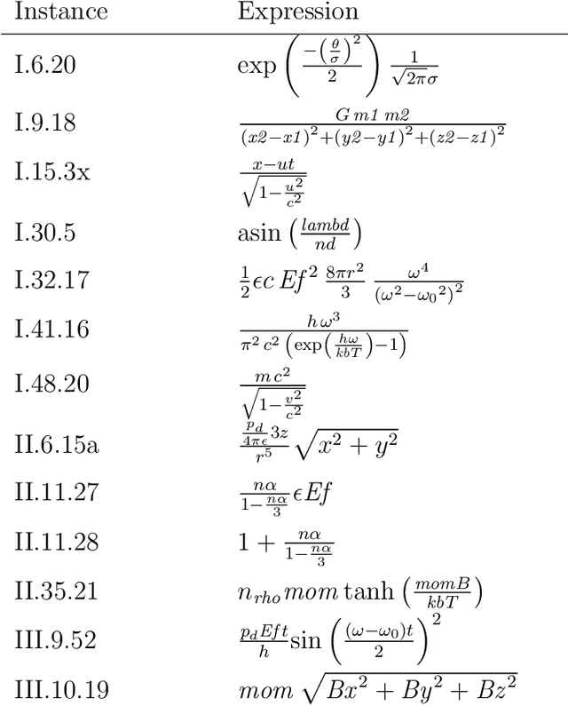
We describe and analyze algorithms for shape-constrained symbolic regression, which allows the inclusion of prior knowledge about the shape of the regression function. This is relevant in many areas of engineering -- in particular whenever a data-driven model obtained from measurements must have certain properties (e.g. positivity, monotonicity or convexity/concavity). We implement shape constraints using a soft-penalty approach which uses multi-objective algorithms to minimize constraint violations and training error. We use the non-dominated sorting genetic algorithm (NSGA-II) as well as the multi-objective evolutionary algorithm based on decomposition (MOEA/D). We use a set of models from physics textbooks to test the algorithms and compare against earlier results with single-objective algorithms. The results show that all algorithms are able to find models which conform to all shape constraints. Using shape constraints helps to improve extrapolation behavior of the models.