


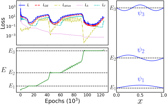
Eigenvalue problems are critical to several fields of science and engineering. We present a novel unsupervised neural network for discovering eigenfunctions and eigenvalues for differential eigenvalue problems with solutions that identically satisfy the boundary conditions. A scanning mechanism is embedded allowing the method to find an arbitrary number of solutions. The network optimization is data-free and depends solely on the predictions. The unsupervised method is used to solve the quantum infinite well and quantum oscillator eigenvalue problems.