


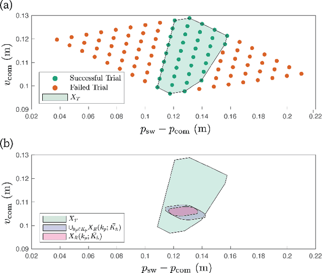
People with lower-limb loss, the majority of which use passive prostheses, exhibit a high incidence of falls each year. Powered lower-limb prostheses have the potential to reduce fall rates by actively helping the user recover from a stumble, but the unpredictability of the human response makes it difficult to design controllers that ensure a successful recovery. This paper presents a method called TRIP-RTD (Trip Recovery in Prostheses via Reachability-based Trajectory Design) for online trajectory planning in a knee prosthesis during and after a stumble that can accommodate a set of possible predictions of human behavior. Using this predicted set of human behavior, the proposed method computes a parameterized reachable set of trajectories for the human-prosthesis system. To ensure safety at run-time, TRIP-RTD selects a trajectory for the prosthesis that guarantees that all possible states of the human-prosthesis system at touchdown arrive in the basin of attraction of the nominal behavior of the system. In simulated stumble experiments where a nominal phase-based controller was unable to help the system recover, TRIP-RTD produced trajectories in under 101 ms that led to successful recoveries for all feasible solutions found.