



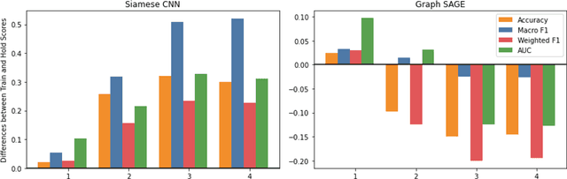
In the aftermath of disasters, building damage maps are obtained using change detection to plan rescue operations. Current convolutional neural network approaches do not consider the similarities between neighboring buildings for predicting the damage. We present a novel graph-based building damage detection solution to capture these relationships. Our proposed model architecture learns from both local and neighborhood features to predict building damage. Specifically, we adopt the sample and aggregate graph convolution strategy to learn aggregation functions that generalize to unseen graphs which is essential for alleviating the time needed to obtain predictions for new disasters. Our experiments on the xBD dataset and comparisons with a classical convolutional neural network reveal that while our approach is handicapped by class imbalance, it presents a promising and distinct advantage when it comes to cross-disaster generalization.