



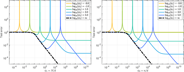
Deep learning methods operate in regimes that defy the traditional statistical mindset. The neural network architectures often contain more parameters than training samples, and are so rich that they can interpolate the observed labels, even if the latter are replaced by pure noise. Despite their huge complexity, the same architectures achieve small generalization error on real data. This phenomenon has been rationalized in terms of a so-called `double descent' curve. As the model complexity increases, the generalization error follows the usual U-shaped curve at the beginning, first decreasing and then peaking around the interpolation threshold (when the model achieves vanishing training error). However, it descends again as model complexity exceeds this threshold. The global minimum of the generalization error is found in this overparametrized regime, often when the number of parameters is much larger than the number of samples. Far from being a peculiar property of deep neural networks, elements of this behavior have been demonstrated in much simpler settings, including linear regression with random covariates. In this paper we consider the problem of learning an unknown function over the $d$-dimensional sphere $\mathbb S^{d-1}$, from $n$ i.i.d. samples $(\boldsymbol x_i, y_i) \in \mathbb S^{d-1} \times \mathbb R$, $i \le n$. We perform ridge regression on $N$ random features of the form $\sigma(\boldsymbol w_a^{\mathsf T}\boldsymbol x)$, $a \le N$. This can be equivalently described as a two-layers neural network with random first-layer weights. We compute the precise asymptotics of the generalization error, in the limit $N, n, d \to \infty$ with $N/d$ and $n/d$ fixed. This provides the first analytically tractable model that captures all the features of the double descent phenomenon.