



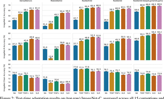
Deep neural networks often exhibit poor performance on data that is unlikely under the train-time data distribution, for instance data affected by corruptions. Previous works demonstrate that test-time adaptation to data shift, for instance using entropy minimization, effectively improves performance on such shifted distributions. This paper focuses on the fully test-time adaptation setting, where only unlabeled data from the target distribution is required. This allows adapting arbitrary pretrained networks. Specifically, we propose a novel loss that improves test-time adaptation by addressing both premature convergence and instability of entropy minimization. This is achieved by replacing the entropy by a non-saturating surrogate and adding a diversity regularizer based on batch-wise entropy maximization that prevents convergence to trivial collapsed solutions. Moreover, we propose to prepend an input transformation module to the network that can partially undo test-time distribution shifts. Surprisingly, this preprocessing can be learned solely using the fully test-time adaptation loss in an end-to-end fashion without any target domain labels or source domain data. We show that our approach outperforms previous work in improving the robustness of publicly available pretrained image classifiers to common corruptions on such challenging benchmarks as ImageNet-C.