

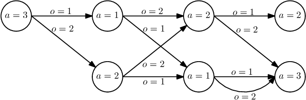
Optimizing a partially observable Markov decision process (POMDP) policy is challenging. The policy graph improvement (PGI) algorithm for POMDPs represents the policy as a fixed size policy graph and improves the policy monotonically. Due to the fixed policy size, computation time for each improvement iteration is known in advance. Moreover, the method allows for compact understandable policies. This report describes the technical details of the PGI [1] and particle based PGI [2] algorithms for POMDPs in a more accessible way than [1] or [2] allowing practitioners and students to understand and implement the algorithms.