



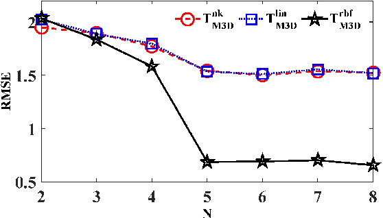
Reducing domain divergence is a key step in transfer learning problems. Existing works focus on the minimization of global domain divergence. However, two domains may consist of several shared subdomains, and differ from each other in each subdomain. In this paper, we take the local divergence of subdomains into account in transfer. Specifically, we propose to use low-dimensional manifold to represent subdomain, and align the local data distribution discrepancy in each manifold across domains. A Manifold Maximum Mean Discrepancy (M3D) is developed to measure the local distribution discrepancy in each manifold. We then propose a general framework, called Transfer with Manifolds Discrepancy Alignment (TMDA), to couple the discovery of data manifolds with the minimization of M3D. We instantiate TMDA in the subspace learning case considering both the linear and nonlinear mappings. We also instantiate TMDA in the deep learning framework. Extensive experimental studies demonstrate that TMDA is a promising method for various transfer learning tasks.