



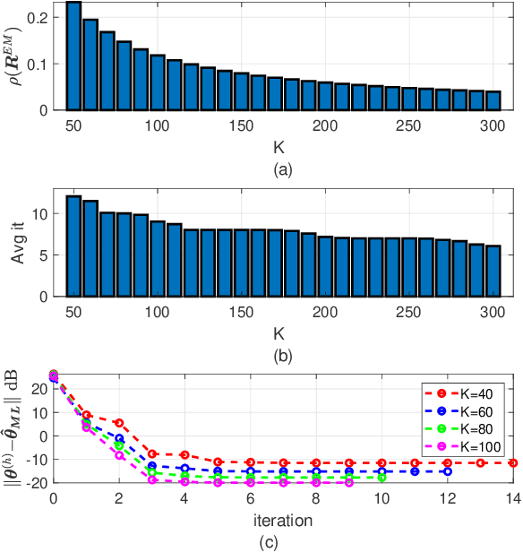
Structured covariance matrix estimation in the presence of missing data is addressed in this paper with emphasis on radar signal processing applications. After a motivation of the study, the array model is specified and the problem of computing the maximum likelihood estimate of a structured covariance matrix is formulated. A general procedure to optimize the observed-data likelihood function is developed resorting to the expectation-maximization algorithm. The corresponding convergence properties are thoroughly established and the rate of convergence is analyzed. The estimation technique is contextualized for two practically relevant radar problems: beamforming and detection of the number of sources. In the former case an adaptive beamformer leveraging the EM-based estimator is presented; in the latter, detection techniques generalizing the classic Akaike information criterion, minimum description length, and Hannan-Quinn information criterion, are introduced. Numerical results are finally presented to corroborate the theoretical study.