



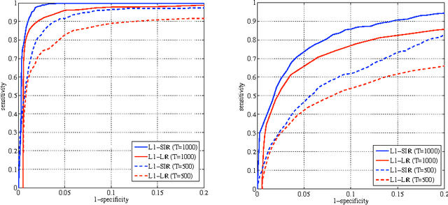
We consider the problem of estimating the topology of spatial interactions in a discrete state, discrete time spatio-temporal graphical model where the interactions affect the temporal evolution of each agent in a network. Among other models, the susceptible, infected, recovered ($SIR$) model for interaction events fall into this framework. We pose the problem as a structure learning problem and solve it using an $\ell_1$-penalized likelihood convex program. We evaluate the solution on a simulated spread of infectious over a complex network. Our topology estimates outperform those of a standard spatial Markov random field graphical model selection using $\ell_1$-regularized logistic regression.