



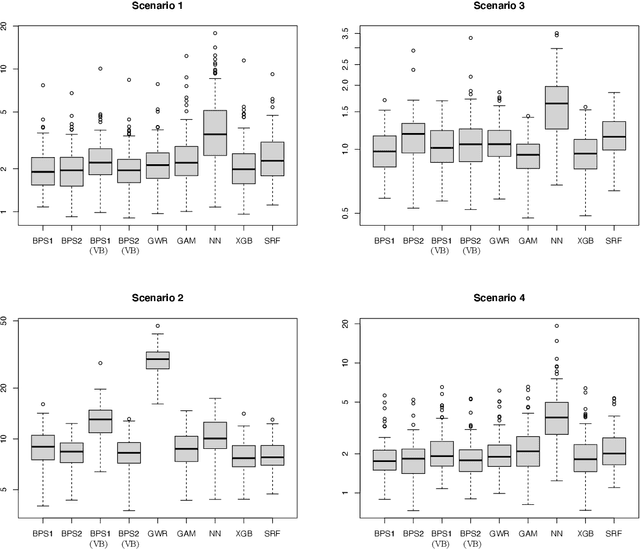
Spatial data are characterized by their spatial dependence, which is often complex, non-linear, and difficult to capture with a single model. Significant levels of model uncertainty -- arising from these characteristics -- cannot be resolved by model selection or simple ensemble methods, as performances are not homogeneous. We address this issue by proposing a novel methodology that captures spatially-varying model uncertainty, which we call spatial Bayesian predictive synthesis. Our proposal is defined by specifying a latent factor spatially-varying coefficient model as the synthesis function, which enables model coefficients to vary over the region to achieve flexible spatial model ensembling. Two MCMC strategies are implemented for full uncertainty quantification, as well as a variational inference strategy for fast point inference. We also extend the estimations strategy for general responses. A finite sample theoretical guarantee is given for the predictive performance of our methodology, showing that the predictions are exact minimax. Through simulation examples and two real data applications, we demonstrate that our proposed spatial Bayesian predictive synthesis outperforms standard spatial models and advanced machine learning methods, in terms of predictive accuracy, while maintaining interpretability of the prediction mechanism.