



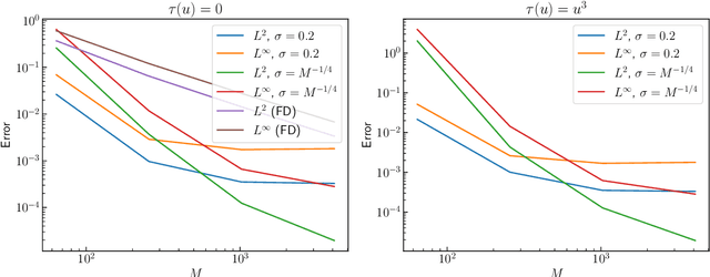
We introduce a simple, rigorous, and unified framework for solving nonlinear partial differential equations (PDEs), and for solving inverse problems (IPs) involving the identification of parameters in PDEs, using the framework of Gaussian processes. The proposed approach (1) provides a natural generalization of collocation kernel methods to nonlinear PDEs and IPs, (2) has guaranteed convergence with a path to compute error bounds in the PDE setting, and (3) inherits the state-of-the-art computational complexity of linear solvers for dense kernel matrices. The main idea of our method is to approximate the solution of a given PDE with a MAP estimator of a Gaussian process given the observation of the PDE at a finite number of collocation points. Although this optimization problem is infinite-dimensional, it can be reduced to a finite-dimensional one by introducing additional variables corresponding to the values of the derivatives of the solution at collocation points; this generalizes the representer theorem arising in Gaussian process regression. The reduced optimization problem has a quadratic loss and nonlinear constraints, and it is in turn solved with a variant of the Gauss-Newton method. The resulting algorithm (a) can be interpreted as solving successive linearizations of the nonlinear PDE, and (b) is found in practice to converge in a small number (two to ten) of iterations in experiments conducted on a range of PDEs. For IPs, while the traditional approach has been to iterate between the identifications of parameters in the PDE and the numerical approximation of its solution, our algorithm tackles both simultaneously. Experiments on nonlinear elliptic PDEs, Burgers' equation, a regularized Eikonal equation, and an IP for permeability identification in Darcy flow illustrate the efficacy and scope of our framework.