



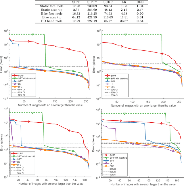
Facial feature tracking is a key component of imaging ballistocardiography (BCG) where accurate quantification of the displacement of facial keypoints is needed for good heart rate estimation. Skin feature tracking enables video-based quantification of motor degradation in Parkinson's disease. Traditional computer vision algorithms include Scale Invariant Feature Transform (SIFT), Speeded-Up Robust Features (SURF), and Lucas-Kanade method (LK). These have long represented the state-of-the-art in efficiency and accuracy but fail when common deformations, like affine local transformations or illumination changes, are present. Over the past five years, deep convolutional neural networks have outperformed traditional methods for most computer vision tasks. We propose a pipeline for feature tracking, that applies a convolutional stacked autoencoder to identify the most similar crop in an image to a reference crop containing the feature of interest. The autoencoder learns to represent image crops into deep feature encodings specific to the object category it is trained on. We train the autoencoder on facial images and validate its ability to track skin features in general using manually labeled face and hand videos. The tracking errors of distinctive skin features (moles) are so small that we cannot exclude that they stem from the manual labelling based on a $\chi^2$-test. With a mean error of 0.6-4.2 pixels, our method outperformed the other methods in all but one scenario. More importantly, our method was the only one to not diverge. We conclude that our method creates better feature descriptors for feature tracking, feature matching, and image registration than the traditional algorithms.