



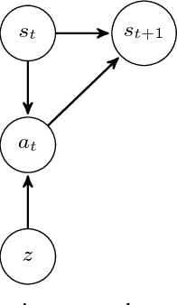
In this work, we propose a method for learning driver models that account for variables that cannot be observed directly. When trained on a synthetic dataset, our models are able to learn encodings for vehicle trajectories that distinguish between four distinct classes of driver behavior. Such encodings are learned without any knowledge of the number of driver classes or any objective that directly requires the models to learn encodings for each class. We show that driving policies trained with knowledge of latent variables are more effective than baseline methods at imitating the driver behavior that they are trained to replicate. Furthermore, we demonstrate that the actions chosen by our policy are heavily influenced by the latent variable settings that are provided to them.