



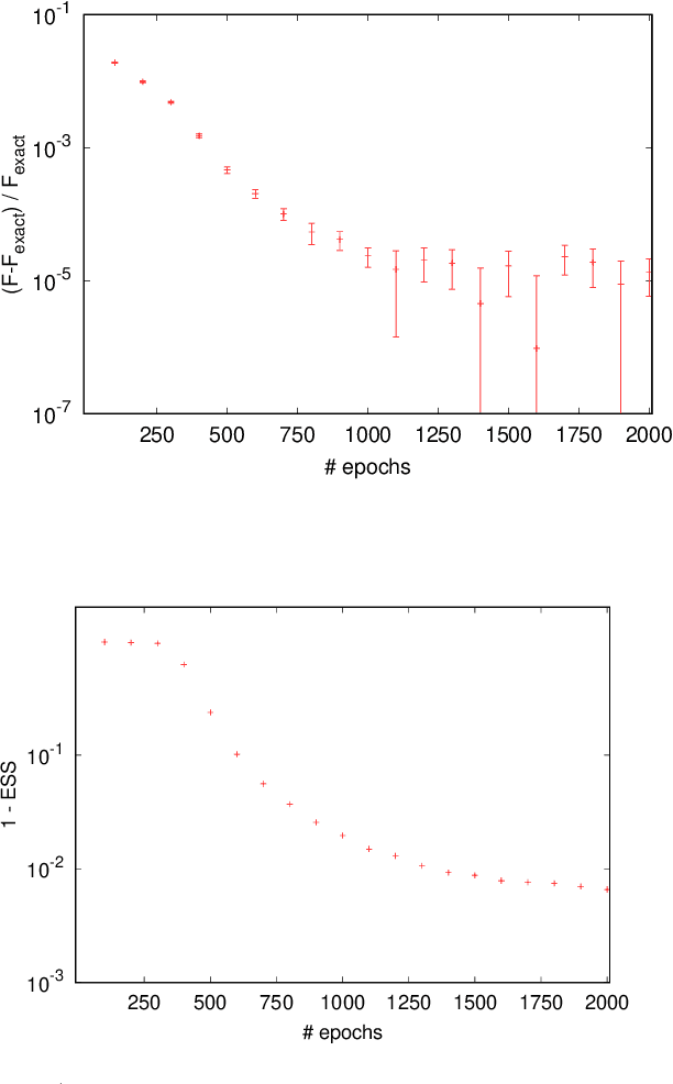
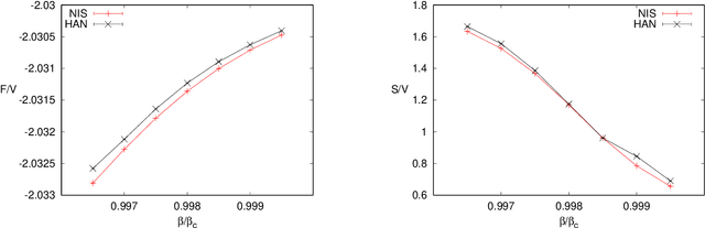
We apply the Hierarchical Autoregressive Neural (HAN) network sampling algorithm to the two-dimensional $Q$-state Potts model and perform simulations around the phase transition at $Q=12$. We quantify the performance of the approach in the vicinity of the first-order phase transition and compare it with that of the Wolff cluster algorithm. We find a significant improvement as far as the statistical uncertainty is concerned at a similar numerical effort. In order to efficiently train large neural networks we introduce the technique of pre-training. It allows to train some neural networks using smaller system sizes and then employing them as starting configurations for larger system sizes. This is possible due to the recursive construction of our hierarchical approach. Our results serve as a demonstration of the performance of the hierarchical approach for systems exhibiting bimodal distributions. Additionally, we provide estimates of the free energy and entropy in the vicinity of the phase transition with statistical uncertainties of the order of $10^{-7}$ for the former and $10^{-3}$ for the latter based on a statistics of $10^6$ configurations.