



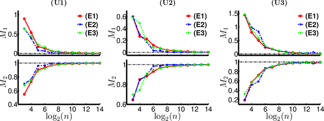
In this paper, we consider a generalized multivariate regression problem where the responses are monotonic functions of linear transformations of predictors. We propose a semi-parametric algorithm based on the ordering of the responses which is invariant to the functional form of the transformation function. We prove that our algorithm, which maximizes the rank correlation of responses and linear transformations of predictors, is a consistent estimator of the true coefficient matrix. We also identify the rate of convergence and show that the squared estimation error decays with a rate of $o(1/\sqrt{n})$. We then propose a greedy algorithm to maximize the highly non-smooth objective function of our model and examine its performance through extensive simulations. Finally, we compare our algorithm with traditional multivariate regression algorithms over synthetic and real data.