



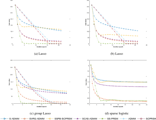
Along with developing of Peaceman-Rachford Splittling Method (PRSM), many batch algorithms based on it have been studied very deeply. But almost no algorithm focused on the performance of stochastic version of PRSM. In this paper, we propose a new stochastic algorithm based on PRSM, prove its convergence rate in ergodic sense, and test its performance on both artificial and real data. We show that our proposed algorithm, Stochastic Scalable PRSM (SS-PRSM), enjoys the $O(1/K)$ convergence rate, which is the same as those newest stochastic algorithms that based on ADMM but faster than general Stochastic ADMM (which is $O(1/\sqrt{K})$). Our algorithm also owns wide flexibility, outperforms many state-of-the-art stochastic algorithms coming from ADMM, and has low memory cost in large-scale splitting optimization problems.