



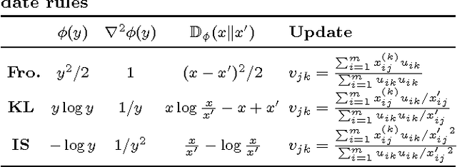
Previous work in network analysis has focused on modeling the mixed-memberships of node roles in the graph, but not the roles of edges. We introduce the edge role discovery problem and present a generalizable framework for learning and extracting edge roles from arbitrary graphs automatically. Furthermore, while existing node-centric role models have mainly focused on simple degree and egonet features, this work also explores graphlet features for role discovery. In addition, we also develop an approach for automatically learning and extracting important and useful edge features from an arbitrary graph. The experimental results demonstrate the utility of edge roles for network analysis tasks on a variety of graphs from various problem domains.