


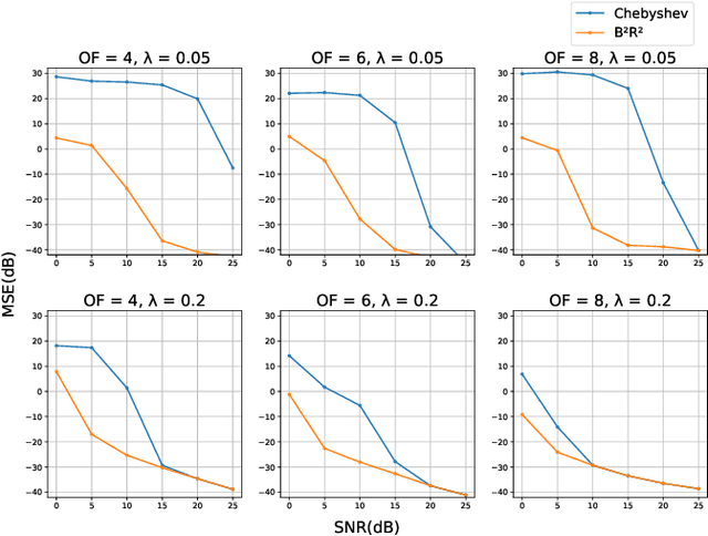
Two important attributes of analog to digital converters (ADCs) are its sampling rate and dynamic range. The sampling rate should be greater than or equal to the Nyquist rate for bandlimited signals with bounded energy. It is also desired that the signals' dynamic range should be within that of the ADC's; otherwise, the signal will be clipped. A modulo operator has been recently suggested prior to sampling to restrict the dynamic range. Due to the nonlinearity of the modulo operation, the samples are distorted. Existing recovery algorithms to recover the signal from its modulo samples operate at a high sampling rate and are not robust in the presence of noise. In this paper, we propose a robust algorithm to recover the signal from the modulo samples which operates at lower sampling rate compared to existing techniques. We also show that our method has lower error compared to existing approaches for a given sampling rate, noise level, and dynamic range of the ADC. Our results lead to less constrained hardware design to address dynamic range issues while operating at the lowest rate possible.