


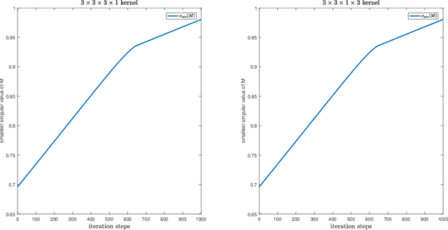
Convolutional neural networks are very popular nowadays. Training neural networks is not an easy task. Each convolution corresponds to a structured transformation matrix. In order to help avoid the exploding/vanishing gradient problem, it is desirable that the singular values of each transformation matrix are not large/small in the training process. We propose three new regularization terms for a convolutional kernel tensor to constrain the singular values of each transformation matrix. We show how to carry out the gradient type methods, which provides new insight about the training of convolutional neural networks.