


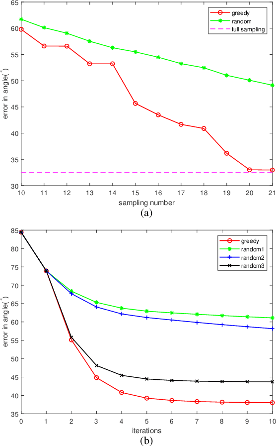
Sampling and interpolation have been extensively studied, in order to reconstruct or estimate the entire graph signal from the signal values on a subset of vertexes, of which most achievements are about continuous signals. While in a lot of signal processing tasks, signals are not fully observed, and only the signs of signals are available, for example a rating system may only provide several simple options. In this paper, the reconstruction of band-limited graph signals based on sign sampling is discussed and a greedy sampling strategy is proposed. The simulation experiments are presented, and the greedy sampling algorithm is compared with random sampling algorithm, which verify the validity of the proposed approach.