



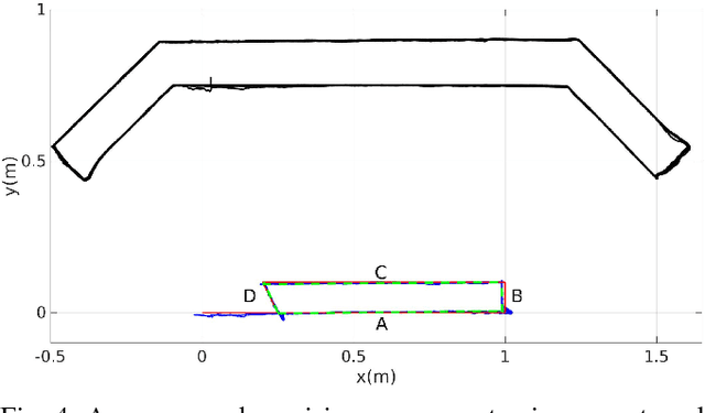
Building and Construction have recently become an exciting application ground for robotics. In particular, rapid progress in materials formulation and in robotics technology has made robotic 3D Printing of concrete a promising technique for in-situ construction. Yet, scalability remains an important hurdle to widespread adoption: the printing systems (gantry- based or arm-based) are often much larger than the structure to be printed, hence cumbersome. Recently, a mobile printing system - a manipulator mounted on a mobile base - was proposed to alleviate this issue: such a system, by moving its base, can potentially print a structure larger than itself. However, the proposed system could only print while being stationary, imposing thereby a limit on the size of structures that can be printed in a single take. Here, we develop a system that implements the printing-while-moving paradigm, which enables printing single-piece structures of arbitrary sizes with a single robot. This development requires solving motion planning, localization, and motion control problems that are specific to mobile 3D Printing. We report our framework to address those problems, and demonstrate, for the first time, a printing-while-moving experiment, wherein a 210 cm x 45 cm x 10 cm concrete structure is printed by a robot arm that has a reach of 87 cm.