


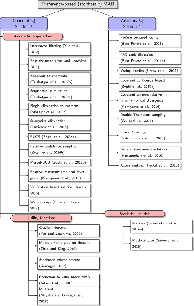
In machine learning, the notion of multi-armed bandits refers to a class of online learning problems, in which an agent is supposed to simultaneously explore and exploit a given set of choice alternatives in the course of a sequential decision process. In the standard setting, the agent learns from stochastic feedback in the form of real-valued rewards. In many applications, however, numerical reward signals are not readily available -- instead, only weaker information is provided, in particular relative preferences in the form of qualitative comparisons between pairs of alternatives. This observation has motivated the study of variants of the multi-armed bandit problem, in which more general representations are used both for the type of feedback to learn from and the target of prediction. The aim of this paper is to provide a survey of the state of the art in this field, referred to as preference-based multi-armed bandits or dueling bandits. To this end, we provide an overview of problems that have been considered in the literature as well as methods for tackling them. Our taxonomy is mainly based on the assumptions made by these methods about the data-generating process and, related to this, the properties of the preference-based feedback.