



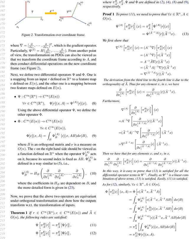
Recent research has shown that incorporating equivariance into neural network architectures is very helpful, and there have been some works investigating the equivariance of networks under group actions. However, as digital images and feature maps are on the discrete meshgrid, corresponding equivariance-preserving transformation groups are very limited. In this work, we deal with this issue from the connection between convolutions and partial differential operators (PDOs). In theory, assuming inputs to be smooth, we transform PDOs and propose a system which is equivariant to a much more general continuous group, the $n$-dimension Euclidean group. In implementation, we discretize the system using the numerical schemes of PDOs, deriving approximately equivariant convolutions (PDO-eConvs). Theoretically, the approximation error of PDO-eConvs is of the quadratic order. It is the first time that the error analysis is provided when the equivariance is approximate. Extensive experiments on rotated MNIST and natural image classification show that PDO-eConvs perform competitively yet use parameters much more efficiently. Particularly, compared with Wide ResNets, our methods result in better results using only 12.6% parameters.