



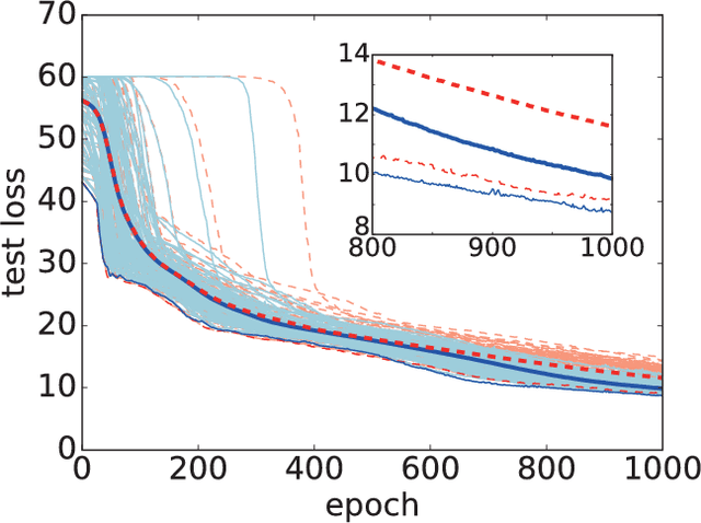
We numerically test an optimization method for deep neural networks (DNNs) using quantum fluctuations inspired by quantum annealing. For efficient optimization, our method utilizes the quantum tunneling effect beyond the potential barriers. The path integral formulation of the DNN optimization generates an attracting force to simulate the quantum tunneling effect. In the standard quantum annealing method, the quantum fluctuations will vanish at the last stage of optimization. In this study, we propose a learning protocol that utilizes a finite value for quantum fluctuations strength to obtain higher generalization performance, which is a type of robustness. We demonstrate the performance of our method using two well-known open datasets: the MNIST dataset and the Olivetti face dataset. Although computational costs prevent us from testing our method on large datasets with high-dimensional data, results show that our method can enhance generalization performance by induction of the finite value for quantum fluctuations.