



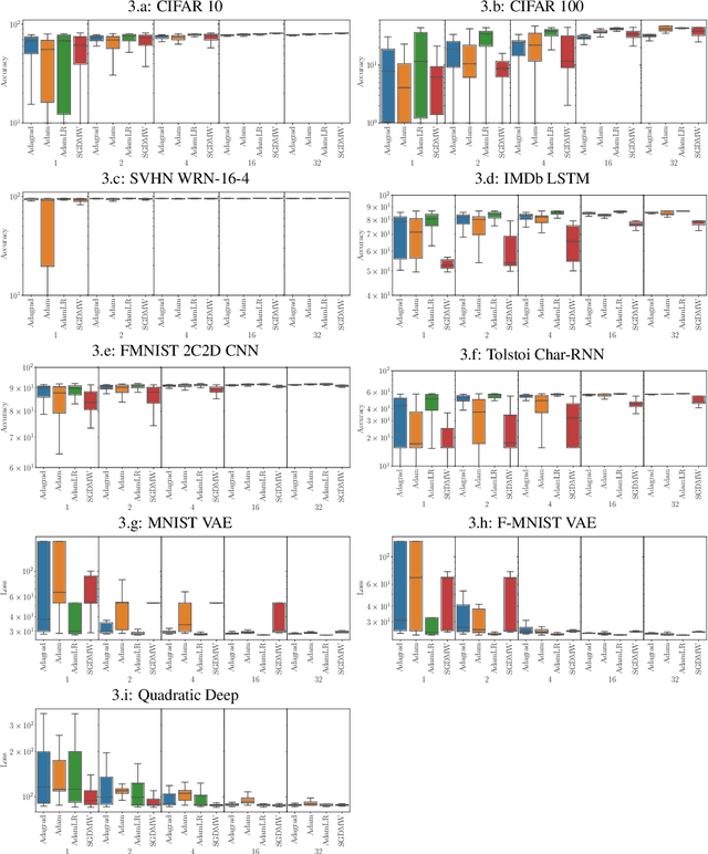
There is no consensus yet on the question whether adaptive gradient methods like Adam are easier to use than non-adaptive optimization methods like SGD. In this work, we fill in the important, yet ambiguous concept of `ease-of-use' by defining an optimizer's \emph{tunability}: How easy is it to find good hyperparameter configurations using automatic random hyperparameter search? We propose a practical and universal quantitative measure for optimizer tunability that can form the basis for a fair optimizer benchmark. Evaluating a variety of optimizers on an extensive set of standard datasets and architectures, we find that Adam is the most tunable for the majority of problems, especially with a low budget for hyperparameter tuning.