



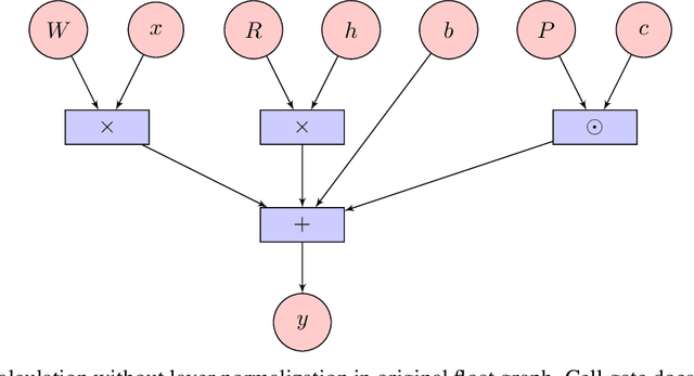
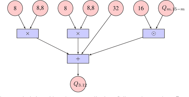
Integer quantization of neural networks can be defined as the approximation of the high precision computation of the canonical neural network formulation, using reduced integer precision. It plays a significant role in the efficient deployment and execution of machine learning (ML) systems, reducing memory consumption and leveraging typically faster computations. In this work, we present an integer-only quantization strategy for Long Short-Term Memory (LSTM) neural network topologies, which themselves are the foundation of many production ML systems. Our quantization strategy is accurate (e.g. works well with quantization post-training), efficient and fast to execute (utilizing 8 bit integer weights and mostly 8 bit activations), and is able to target a variety of hardware (by leveraging instructions sets available in common CPU architectures, as well as available neural accelerators).