



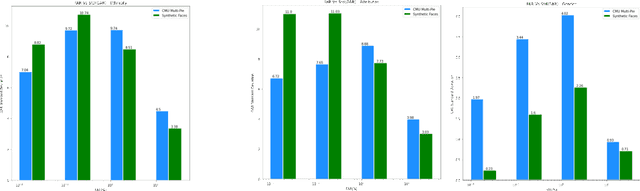
Deep Learning systems need large data for training. Datasets for training face verification systems are difficult to obtain and prone to privacy issues. Synthetic data generated by generative models such as GANs can be a good alternative. However, we show that data generated from GANs are prone to bias and fairness issues. Specifically, GANs trained on FFHQ dataset show biased behavior towards generating white faces in the age group of 20-29. We also demonstrate that synthetic faces cause disparate impact, specifically for race attribute, when used for fine tuning face verification systems.