



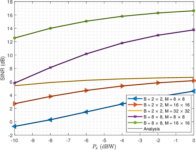
Reflecting Surfaces (RSs) are being lately envisioned as an energy efficient solution capable of enhancing the signal coverage in cases where obstacles block the direct communication from Base Stations (BSs), especially at high frequency bands due to attenuation loss increase. In the current literature, wireless communications via RSs are exclusively based on traditional coherent demodulation, which necessitates the estimation of accurate Channel State Information (CSI). However, this requirement results in an increased overhead, especially in time-varying channels, which reduces the resources that can be used for data communication. In this paper, we consider the uplink between a single-antenna user and a multi-antenna BS and present a novel RS-empowered Orthogonal Frequency Division Multiplexing (OFDM) communication system based on the differential phase shift keying, which is suitable for high noise and/or mobility scenarios. As a benchmark, analytical expressions for the Signal-to-Interference and Noise Ratio (SINR) of the proposed system are presented. Our extensive simulation results verify the accuracy of the presented analysis and showcase the performance and superiority of the proposed system over coherent demodulation.