



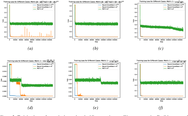
The inductive bias of a graph neural network (GNN) is largely encoded in its specified graph. Latent graph inference relies on latent geometric representations to dynamically rewire or infer a GNN's graph to maximize the GNN's predictive downstream performance, but it lacks solid theoretical foundations in terms of embedding-based representation guarantees. This paper addresses this issue by introducing a trainable deep learning architecture, coined neural snowflake, that can adaptively implement fractal-like metrics on $\mathbb{R}^d$. We prove that any given finite weights graph can be isometrically embedded by a standard MLP encoder. Furthermore, when the latent graph can be represented in the feature space of a sufficiently regular kernel, we show that the combined neural snowflake and MLP encoder do not succumb to the curse of dimensionality by using only a low-degree polynomial number of parameters in the number of nodes. This implementation enables a low-dimensional isometric embedding of the latent graph. We conduct synthetic experiments to demonstrate the superior metric learning capabilities of neural snowflakes when compared to more familiar spaces like Euclidean space. Additionally, we carry out latent graph inference experiments on graph benchmarks. Consistently, the neural snowflake model achieves predictive performance that either matches or surpasses that of the state-of-the-art latent graph inference models. Importantly, this performance improvement is achieved without requiring random search for optimal latent geometry. Instead, the neural snowflake model achieves this enhancement in a differentiable manner.